Equations of Spacetime Invariant - Understanding the Difference

  • Context: Undergrad 
  • Thread starter Thread starter Thevan
  • Start date Start date
  • Tags Tags
    Invariant Spacetime
Click For Summary

Discussion Overview

The discussion focuses on the differences between two forms of the equations representing the spacetime interval, particularly regarding the sign conventions used in their definitions. Participants explore the implications of these conventions in the context of spacetime physics, specifically when considering motion along the x-axis.

Discussion Character

  • Debate/contested
  • Technical explanation

Main Points Raised

  • One participant seeks clarification on the difference between two equations for the spacetime interval and questions the reason for the change in sign.
  • Another participant asserts that the equations represent two different sign conventions for the spacetime invariant, suggesting that one must choose a convention where either the time interval squared or the space interval squared is positive.
  • It is noted by some that the choice of convention does not affect the underlying physics, but results in different placements of minus signs in equations depending on the chosen convention.
  • A participant highlights that the square root of one definition of the spacetime interval corresponds to the infinitesimal interval of proper time, which is only defined for time-like wordlines when the interval is positive.
  • Links to external resources are provided for further exploration of sign conventions and their implications in relativity and quantum field theory.

Areas of Agreement / Disagreement

Participants generally agree that the difference in equations is a matter of convention, but there is no consensus on which convention is preferable or if one is more useful than the other.

Contextual Notes

Participants mention that the definitions depend on the chosen sign convention, and the implications of these choices may vary based on the context of their application. There is also an acknowledgment that the proper time definition is only valid under certain conditions.

Thevan
Messages
4
Reaction score
0
TL;DR
Spacetime Invariant - 2 Equations with signs changed.
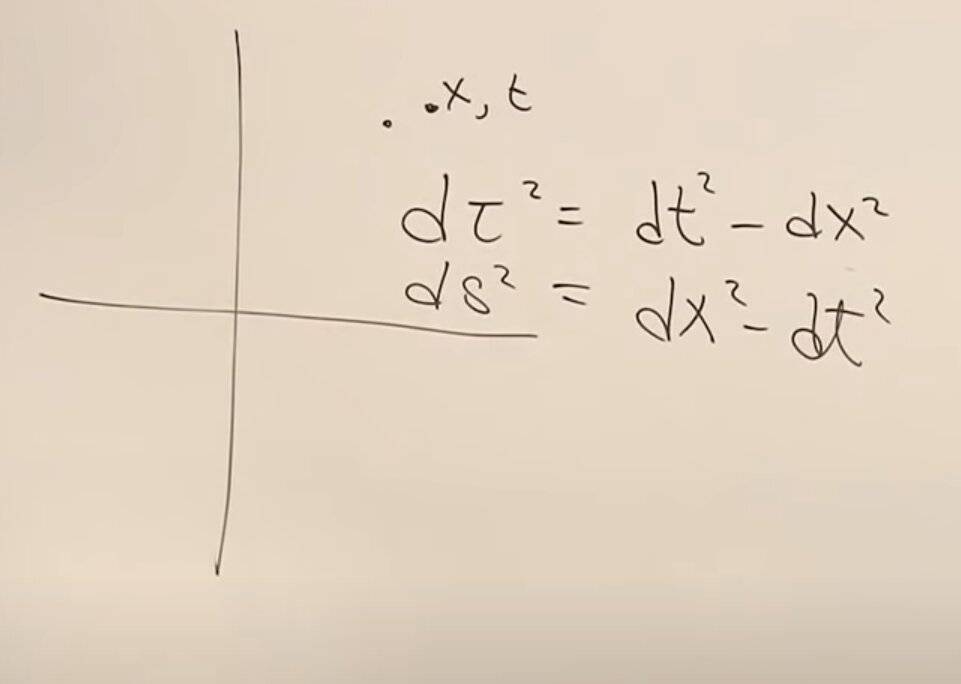
The distance/difference between two points in spacetime can be written in two forms (as shown in attachment). Can anyone explain the difference in the two equations? I have read that the two equations are the same, but i don't understand the change in sign. Why is it written in two forms?

(Considering motion only along x-axis.)
 

Attachments

  • New Picture.jpg
    New Picture.jpg
    18.1 KB · Views: 199
Physics news on Phys.org
Obviously
[tex]d\tau^2=-ds^2[/tex]
They are just two different sign convention of spacetime invariant. You should choose one of them, i.e. (time interval)^2 is accounted positive or (space interval)^2 is accounted positive.
 
Last edited:
  • Like
Likes   Reactions: vanhees71
Some people define it one way, some the other way. Either is fine. It makes no difference to the physics being described, just means that you have minus signs in some places if you choose one convention and in other places if you choose the other.
 
As said in previous posts, it is a matter of convention. Maybe it is just worth to highlight that square root of the first definition of the spacetime interval in you picture is infinitesimal interval of proper time ##d\tau = \sqrt{dt^2 - dx^2}##, which is defined only when ##d\tau^2 > 0##, ie. for time-like wordlines.
 
  • Like
Likes   Reactions: vanhees71

Similar threads

  • · Replies 6 ·
Replies
6
Views
2K
  • · Replies 21 ·
Replies
21
Views
2K
  • · Replies 7 ·
Replies
7
Views
3K
  • · Replies 14 ·
Replies
14
Views
2K
  • · Replies 22 ·
Replies
22
Views
2K
  • · Replies 7 ·
Replies
7
Views
2K
  • · Replies 7 ·
Replies
7
Views
2K
  • · Replies 53 ·
2
Replies
53
Views
6K
  • · Replies 16 ·
Replies
16
Views
2K
  • · Replies 144 ·
5
Replies
144
Views
12K