Error Propagation - Reconciling Two Approaches

Click For Summary

Homework Help Overview

The discussion revolves around error propagation in the context of calculating the sum of mass flow rates from multiple measurements. The original poster presents two approaches for calculating mass flow rates, leading to different error propagation results, and seeks clarification on the discrepancies.

Discussion Character

  • Exploratory, Assumption checking, Conceptual clarification

Approaches and Questions Raised

  • The original poster attempts to reconcile two methods for calculating mass flow rates: summing individual rates versus summing masses and dividing by time. Some participants question the clarity of the measurements taken, particularly regarding the number of time measurements and the roles of different mass variables.

Discussion Status

Participants are actively engaging with the original poster's calculations and assumptions. Some have provided insights into the potential sources of error and the implications of using different measurement approaches. There is an ongoing exploration of the assumptions behind the calculations, particularly regarding simultaneous measurements and their impact on error analysis.

Contextual Notes

There are discussions about the measurement errors associated with different mass measurements and the implications of using a single time measurement for multiple streams. The participants are also considering the statistical treatment of measurement errors in the context of the problem.

cjc0117
Messages
91
Reaction score
1
Member reminded that the formatting template is required in the homework areas.
Hi,
I am trying to find the error propagated by calculating the sum of a set of mass flow rates collected over the same length of time. The sum of mass flow rates can be calculated with two approaches, since the collection time is the same for all of them. Approach (1) is adding up all of the individual mass flow rates, and Approach (2) is adding up all of the masses and then dividing by the collection time. However, when I use standard error propagation formulas (http://lectureonline.cl.msu.edu/~mmp/labs/error/e2.htm) to derive an expression for the error in the sum of mass flow rates, I get two different answers depending on which of the two above approaches I use. I have attached my work. Can someone please help me figure out where math has gone wrong, or my conceptualization?
Thank you
 

Attachments

  • Page_1.jpeg
    Page_1.jpeg
    22.5 KB · Views: 623
  • Page_2.jpeg
    Page_2.jpeg
    29.5 KB · Views: 644
  • Page_3.jpeg
    Page_3.jpeg
    27.2 KB · Views: 602
Physics news on Phys.org
Hi,

Can you make clear what you have measured ?
It is not clear at all if you have taken one measurement of t or many
The respective roles of ##m##, ##\dot m## and ##M## is not clear either
 
BvU said:
Hi,

Can you make clear what you have measured ?
It is not clear at all if you have taken one measurement of t or many
The respective roles of ##m##, ##\dot m## and ##M## is not clear either
I have calculated the mass, ##m_{i}##, of liquid exiting the outlet of stream ##i## for ##n## number of streams over a measured time period of ##t##, by measuring the mass of liquid + container, ##M_{1,i}##, and subtracting from that the measurement for the mass of the container, ##M_{2,i}##. ##M_{1,i}## and ##M_{2,i}## both have the same measurement error (the error of the scale), which is the same for all ##n## streams. Thus, the error in ##m_{i}## is the same for all streams. The liquid from each stream was collected simultaneously in separate containers, therefore, there is only one ##t## measurement for all of them. The mass flow rate, ##\dot{m}_{i}##, is calculated for each stream ##i## by dividing the mass of stream ##i##, ##m_{i}##, by the collection time, ##t##.

So do you think that may be why the results are different? Is it because one approach assumes that there is a different ##t## measurement for each stream (several ##t_{i}##'s), and one doesn't? So I should use the approach where you sum all of the masses, and then divide by ##t##?
 
Last edited:
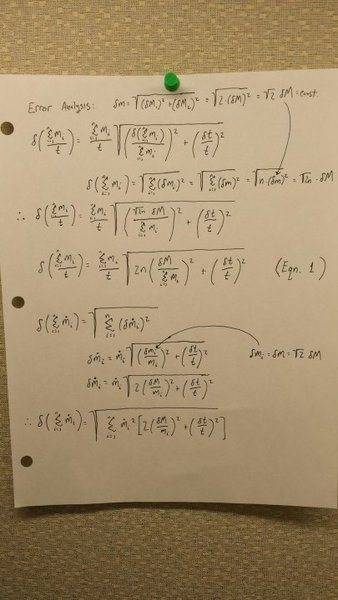
Just want to rewrite all my work using LaTeX and clarify a few things...

Objective: Show that if [itex]\sum^n_{i=1}\dot{m}_i=\frac{\sum^n_{i=1}m_{i}}{t}[/itex] then [itex]\delta{\left(\sum^n_{i=1}\dot{m}_{i}\right)}=\delta{\left(\frac{\sum^n_{i=1}m_{i}}{t}\right)}[/itex]

Define: [itex]M_{1,i}\ \mbox{and}\ M_{2,i}\ \mbox{are measured masses}\\\ \\m_{i}=M_{1,i}-M_{2,i}\ \mbox{for all}\ i\\\ \\\dot{m_{i}}=\frac{m_{i}}{t}\ \mbox{for all}\ i[/itex]

Given: [itex]t=const.\ \mbox{(i.e., all masses were collected over the same time period)}\\\delta{M_{1,i}}=\delta{M_{2,i}}=\delta{M}=const.\ \mbox{for all}\ i[/itex]

Proof: [itex]\sum^n_{i=1}\dot{m}_i\stackrel{?}{=}\frac{\sum^n_{i=1}m_{i}}{t}\\\ \\\dot{m}_{1}+\dot{m}_{2}+...+\dot{m}_{n}\stackrel{?}{=}\frac{\sum^n_{i=1}m_{i}}{t}\\\ \\\frac{m_{1}}{t}+\frac{m_{2}}{t}+...+\frac{m_{n}}{t}\stackrel{?}{=}\frac{\sum^n_{i=1}m_{i}}{t}\\\ \\\frac{1}{t}\left(m_{1}+m_{2}+...+m_{n}\right)\stackrel{?}{=}\frac{\sum^n_{i=1}m_{i}}{t}\\\ \\\frac{\sum^n_{i=1}m_{i}}{t}=\frac{\sum^n_{i=1}m_{i}}{t}[/itex]

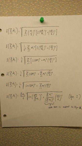
Error Analysis: [itex]\delta{m_{i}}=\sqrt{\left(\delta{M_{1,i}}\right)^2+\left(\delta{M_{2,i}}\right)^2}=\sqrt{2\left(\delta{M}\right)^2}=\sqrt{2}\delta{M}=\delta{m}=const.\ \mbox{for all}\ i\\\ \\\delta{\left(\frac{\sum^n_{i=1}m_{i}}{t}\right)}=\frac{\sum^n_{i=1}m_{i}}{t}\sqrt{\left(\frac{\delta{\left(\sum^n_{i=1}m_{i}\right)}}{\sum^n_{i=1}m_{i}}\right)^2+\left(\frac{\delta{t}}{t}\right)^2}\\\ \\\delta{\left(\sum^n_{i=1}m_{i}\right)}=\sqrt{\sum^n_{i=1}\left(\delta{m_{i}}\right)^2}=\sqrt{\sum^n_{i=1}\left(\delta{m}\right)^2}=\sqrt{n\left(\delta{m}\right)^2}=\sqrt{2n}\delta{M}\\\ \\\delta{\left(\frac{\sum^n_{i=1}m_{i}}{t}\right)}=\frac{\sum^n_{i=1}m_{i}}{t}\sqrt{\left(\frac{\sqrt{2n}\delta{M}}{\sum^n_{i=1}m_{i}}\right)^2+\left(\frac{\delta{t}}{t}\right)^2}\\\ \\\delta{\left(\frac{\sum^n_{i=1}m_{i}}{t}\right)}=\frac{\sum^n_{i=1}m_{i}}{t}\sqrt{2n\left(\frac{\delta{M}}{\sum^n_{i=1}m_{i}}\right)^2+\left(\frac{\delta{t}}{t}\right)^2}\ \ \ \ \ \ \ \ \ \ \mbox{*(EQN. 1)*}\\\ \\\ \\\delta{\left(\sum^n_{i=1}\dot{m}_{i}\right)}=\sqrt{\sum^n_{i=1}\left(\delta{\dot{m}_{i}}\right)^2}\\\ \\\ \ \ \ \ \ \ \ \ \ \delta{\dot{m}_{i}}=\dot{m}_{i}\sqrt{\left(\frac{\delta{m_{i}}}{m_{i}}\right)^2+\left(\frac{\delta{t}}{t}\right)^2}\\\ \\\ \ \ \ \ \ \ \ \ \ \delta{\dot{m}_{i}}=\dot{m}_{i}\sqrt{2\left(\frac{\delta{M}}{m_{i}}\right)^2+\left(\frac{\delta{t}}{t}\right)^2}\\\ \\\delta{\left(\sum^n_{i=1}\dot{m}_{i}\right)}=\sqrt{\sum^n_{i=1}\dot{m}_{i}^2\left[2\left(\frac{\delta{M}}{m_{i}}\right)^2+\left(\frac{\delta{t}}{t}\right)^2\right]}\\\ \\\delta{\left(\sum^n_{i=1}\dot{m}_{i}\right)}=\sqrt{\sum^n_{i=1}\left(\frac{m_{i}}{t}\right)^2\left[2\left(\frac{\delta{M}}{m_{i}}\right)^2+\left(\frac{\delta{t}}{t}\right)^2\right]}\\\ \\\delta{\left(\sum^n_{i=1}\dot{m}_{i}\right)}=\sqrt{\frac{1}{t^2}\sum^n_{i=1}m_{i}^2\left[2\left(\frac{\delta{M}}{m_{i}}\right)^2+\left(\frac{\delta{t}}{t}\right)^2\right]}\\\ \\\delta{\left(\sum^n_{i=1}\dot{m}_{i}\right)}=\frac{1}{t}\sqrt{\sum^n_{i=1}\left[2\left(\delta{M}\right)^2+m_{i}^2\left(\frac{\delta{t}}{t}\right)^2\right]}\\\ \\\delta{\left(\sum^n_{i=1}\dot{m}_{i}\right)}=\frac{1}{t}\sqrt{\sum^n_{i=1}2\left(\delta{M}\right)^2+\sum^n_{i=1}m_{i}^2\left(\frac{\delta{t}}{t}\right)^2}\\\ \\\delta{\left(\sum^n_{i=1}\dot{m}_{i}\right)}=\frac{1}{t}\sqrt{2n\left(\delta{M}\right)^2+\sum^n_{i=1}m_{i}^2\left(\frac{\delta{t}}{t}\right)^2}\\\ \\\delta{\left(\sum^n_{i=1}\dot{m}_{i}\right)}=\frac{\sum^n_{i=1}m_{i}}{t}\sqrt{2n\left(\frac{\delta{M}}{\sum^n_{i=1}m_{i}}\right)^2+\frac{\sum^n_{i=1}m_{i}^2}{\left(\sum^n_{i=1}m_{i}\right)^2}\left(\frac{\delta{t}}{t}\right)^2}\ \ \ \ \ \ \ \ \ \ \mbox{*(EQN. 2)*}[/itex]

(EQN. 2) is not equivalent to (EQN. 1), because the second term in the radical is multiplied by the extra [itex]\frac{\sum^n_{i=1}m_{i}^2}{\left(\sum^n_{i=1}m_{i}\right)^2}[/itex] term. This would suggest that [itex]\delta{\left(\sum^n_{i=1}\dot{m}_{i}\right)}\neq\delta{\left(\frac{\sum^n_{i=1}m_{i}}{t}\right)}[/itex]. However, if [itex]\sum^n_{i=1}\dot{m}_i=\frac{\sum^n_{i=1}m_{i}}{t}[/itex] then why shouldn't [itex]\delta{\left(\sum^n_{i=1}\dot{m}_{i}\right)}=\delta{\left(\frac{\sum^n_{i=1}m_{i}}{t}\right)}[/itex]? Where have I gone wrong?
 
Last edited:
My compliments for your extensive typesetting work ! I didn't dare ask, because it's a huge task indeed.
So, to make sure:

you calculate the total mass flow from N measurements of ##M_{1,i}## and 1 measurement of ##M_{2,i}## and one single time measurement t ?

To me that's difficult to imagine: how can you have one container and N simultaneous measurements ?
But let me accept that that is possible, then the errors in the ##m_i## contain
  • one contribution from ##M_{1,i}## that you can assume to be distributed according to a probability distribution (Gaussian, if the resolution is smaller than the standard deviation).
  • The other contribution is NOT distributed, but exactly the same for each measurement ##i##.

The thing to do is then first do ##\sum M_{2,i}## , let that be ##M_{2,{\rm\, tot}}##.
Internal error on ##M_{2,{\rm\, tot}}## (i.e. based on estimated measurement errors, as opposed to external error, based on observed standard deviation) is indeed ##\sqrt N \delta M##.

Next step is to subtract the one single ##M_{1,i}## measurement N times:$$ m_{\rm\, tot} = \sum M_{2,i} - N M_{1,i} $$with internal error $$
\left ( \delta m_{\rm\, tot} \right )^2 = N \left (\delta M \right )^2 +N^2 \left (\delta M \right )^2
$$

Last step is divide by t, a simple quadratic addition of relative errors in ##m_{\rm\, tot}## and ##t##.

Depending on how big N is you can forget N versus N^2 -- and you probably will be sorry for not weighing the pile of N containers together instead of only one ...

Is this what you did and is what I proposed clear ?

I must admit that I did not dig completely through your derivation of eq 2 because I think it goes off the rails at the point you introduce the ##\delta m_i## and subsequently treat them as independent.

--
 
BvU said:
My compliments for your extensive typesetting work ! I didn't dare ask, because it's a huge task indeed.
So, to make sure:

you calculate the total mass flow from N measurements of ##M_{1,i}## and 1 measurement of ##M_{2,i}## and one single time measurement t ?

To me that's difficult to imagine: how can you have one container and N simultaneous measurements ?
But let me accept that that is possible, then the errors in the ##m_i## contain
  • one contribution from ##M_{1,i}## that you can assume to be distributed according to a probability distribution (Gaussian, if the resolution is smaller than the standard deviation).
  • The other contribution is NOT distributed, but exactly the same for each measurement ##i##.

The thing to do is then first do ##\sum M_{2,i}## , let that be ##M_{2,{\rm\, tot}}##.
Internal error on ##M_{2,{\rm\, tot}}## (i.e. based on estimated measurement errors, as opposed to external error, based on observed standard deviation) is indeed ##\sqrt N \delta M##.

Next step is to subtract the one single ##M_{1,i}## measurement N times:$$ m_{\rm\, tot} = \sum M_{2,i} - N M_{1,i} $$with internal error $$
\left ( \delta m_{\rm\, tot} \right )^2 = N \left (\delta M \right )^2 +N^2 \left (\delta M \right )^2
$$

Last step is divide by t, a simple quadratic addition of relative errors in ##m_{\rm\, tot}## and ##t##.

Depending on how big N is you can forget N versus N^2 -- and you probably will be sorry for not weighing the pile of N containers together instead of only one ...

Is this what you did and is what I proposed clear ?

I must admit that I did not dig completely through your derivation of eq 2 because I think it goes off the rails at the point you introduce the ##\delta m_i## and subsequently treat them as independent.

--
Thanks for the reply, and for the compliment! It was certainly painful to type all of it out...Also, no, there are ##N## streams and ##N## separate containers with which to collect liquid from each stream. So for each stream ##i##, the mass of liquid, ##m_{i}##, is calculated by subtracting the mass of the container for that stream, ##M_{2,i}##, from the mass of liquid + container for that stream, ##M_{1,i}##. Liquid is collected from all streams simultaneously for the same amount of time. Sorry, I should have explicitly stated this.
 

Similar threads

Replies
15
Views
3K
  • · Replies 3 ·
Replies
3
Views
2K
  • · Replies 1 ·
Replies
1
Views
2K
  • · Replies 15 ·
Replies
15
Views
4K
  • · Replies 11 ·
Replies
11
Views
2K
  • · Replies 1 ·
Replies
1
Views
2K
  • · Replies 3 ·
Replies
3
Views
6K
  • · Replies 31 ·
2
Replies
31
Views
3K
  • · Replies 6 ·
Replies
6
Views
5K
  • · Replies 1 ·
Replies
1
Views
3K