Evaluating several powers of ##x## from a given equation

  • Thread starter Thread starter brotherbobby
  • Start date Start date
  • Tags Tags
    Exponent Index
Click For Summary

Homework Help Overview

The problem involves evaluating the expression ##\left(x^{x^{x^{6}}}\right)^{\sqrt{3}}## given the equation ##x^{2x^{6}}=3##. The context centers around powers and exponents, particularly with irrational exponents.

Discussion Character

  • Mixed

Approaches and Questions Raised

  • Participants discuss the interpretation of the original equation and the implications of different interpretations of the exponent structure. Some express doubts about how to evaluate ##x## and the presence of the irrational exponent. Others provide insights into the potential forms of the equation and question the clarity of the problem statement.

Discussion Status

The discussion is exploring various interpretations of the problem statement, with some participants suggesting that the original poster may have misinterpreted the equation. There is an ongoing examination of the assumptions regarding the structure of the exponentiation.

Contextual Notes

There are concerns about the ambiguity in the problem statement, particularly regarding the interpretation of the exponent in relation to the base. Participants are questioning the clarity of the mathematical expressions involved.

brotherbobby
Messages
779
Reaction score
172
Homework Statement
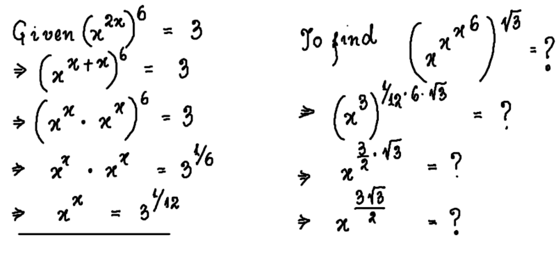
If ##\quad\boldsymbol{\displaystyle x^{\displaystyle 2x^{\displaystyle 6}}=3}##, evaluate ##\quad\boldsymbol{\left(x^{\displaystyle x^{\displaystyle x^{\displaystyle 6}}}\right)^{\displaystyle\sqrt 3} = ?}##
Relevant Equations
1. ##a^m \cdot a^n = a^{m\cdot n}##
2. ##\left(a^m\right)^n = a^{mn}##.
3. If ##a^x=b\Rightarrow x\log a=\log b\quad \text{to any base}##

(I can't think of anything else given the little I was able to do in my way of an ##\text{attempt}##.)
Problem statement : If ##\boldsymbol{\displaystyle x^{\displaystyle 2x^{\displaystyle 6}}=3}##, evaluate ##\boldsymbol{\left(x^{\displaystyle x^{\displaystyle x^{\displaystyle 6}}}\right)^{\displaystyle\sqrt 3} = ?}##.

Attempt : I copy and paste my attempt using Autodesk Sketchbook##^{\circledR}##. I hope I am not violating anything.

1666871784349.png


Doubt : If only I could evaluate ##x##, or so it would seem. Note I have an irrational power ##^{\sqrt 3}## to negotiate with as well.

A help or a hint would be welcome.
 
Physics news on Phys.org
You need to be carfeul. $$x^{x^{x^6}} = x^{(x^{x^6})} = x^{(x^{(x^6)})}$$
 
  • Like
Likes   Reactions: topsquark and pbuk
brotherbobby said:
Homework Statement:: If ##\quad\boldsymbol{\displaystyle x^{\displaystyle 2x^{\displaystyle 6}}=3}##, evaluate ##\quad\boldsymbol{\left(x^{\displaystyle x^{\displaystyle x^{\displaystyle 6}}}\right)^{\displaystyle\sqrt 3} = ?}##
I observe
[tex]x=3^{\frac{1}{6}}[/tex]
satisfies "If ...,".

Say
[tex]x^6=y[/tex]
[tex]y^{2y/6}=3[/tex]
[tex]y\ln y=3\ln 3[/tex]
[tex]y=3[/tex]
[tex]x=3^{\frac{1}{6}}[/tex]
 
Last edited:
  • Like
Likes   Reactions: topsquark and SammyS
anuttarasammyak said:
I observe
[tex]x=3^{\frac{1}{6}}[/tex]
satisfies "If ...,".
If ##x^{(2(x^6))} = 3## but not if ##x^{((2x)^6)} = 3##. The problem statement is ambiguous.
 
DrClaude said:
If ##x^{(2(x^6))} = 3## but not if ##x^{((2x)^6)} = 3##. The problem statement is ambiguous.
It's not much different from ##e^{-\frac 1 2 x^2}##, which is unambiguous.
 
PeroK said:
It's not much different from ##e^{-\frac 1 2 x^2}##, which is unambiguous.
The thing is I read the problem as ##x^{(2(x^6))} = 3## (as in your example) but the OP as ##x^{((2x)^6)} = 3##. So which is it?
 
DrClaude said:
The thing is I read the problem as ##x^{(2(x^6))} = 3## (as in your example) but the OP as ##x^{((2x)^6)} = 3##. So which is it?
The convention is definitely the former. ##e^{kx^2}## being the example to bear in mind.

The OP has misinterpreted both expressions, I think.
 
  • Like
Likes   Reactions: DrClaude

Similar threads

  • · Replies 12 ·
Replies
12
Views
3K
  • · Replies 9 ·
Replies
9
Views
2K
  • · Replies 21 ·
Replies
21
Views
2K
  • · Replies 11 ·
Replies
11
Views
2K
  • · Replies 11 ·
Replies
11
Views
3K
  • · Replies 3 ·
Replies
3
Views
4K
  • · Replies 10 ·
Replies
10
Views
2K
  • · Replies 6 ·
Replies
6
Views
3K
Replies
15
Views
2K
  • · Replies 15 ·
Replies
15
Views
3K