Ratio of the sum of ##n## terms of two AP series

Click For Summary

Homework Help Overview

The discussion revolves around finding the ratio of the sums of the first n terms of two arithmetic progressions (APs). Participants are exploring the relationships between the terms and sums of these sequences, particularly focusing on the expressions provided in the problem statement.

Discussion Character

  • Exploratory, Assumption checking, Mathematical reasoning

Approaches and Questions Raised

  • Participants discuss the expressions for the sums of the two APs and their ratios, questioning the validity of certain assumptions and calculations. There is an exploration of how to relate the terms of the APs to their sums and the implications of the given ratio.

Discussion Status

Several participants have provided hints and suggestions for approaching the problem, with some questioning the correctness of specific calculations and assumptions. There is an ongoing examination of the relationships between the terms and sums, with no explicit consensus reached yet.

Contextual Notes

Participants note that the problem involves specific values for n and the need to consider the implications of the ratios provided. There is also mention of potential errors in reasoning regarding the sums and their ratios.

brotherbobby
Messages
777
Reaction score
172
Homework Statement
The ratio of the sum of ##n## of two APs is ##\dfrac{(7n+1)}{(4n+27)}##. Find the ratio of their ##11^{\text{th}}## terms.
Relevant Equations
1. In an AP with first term ##a## and common difference ##d##, the ##n^{\text{th}}## term is ##t_n=a+(n-1)d##.
2. For the AP in (1) above, the sum of the first ##n## terms is ##S_n = \dfrac{n}{2}\left[ 2a + (n-1)d\right]##
1696926103891.png
Statement of the problem :
I copy and paste the problem as it appears in the text to the right.

Attempt : I must admit I didn't get far, but below is what I did. I use ##\text{MathType}^{\circledR}## hoping am not violating anything.
1696926822683.png


Request : A hint would be very welcome.
 
Physics news on Phys.org
You want this
$$\frac{(t_1)_{11}}{(t_2)_{11}}=\frac{a_1+10d_1}{a_2+10d_2}$$
You know this
$$\frac{(S_1)_{n}}{(S_2)_{n}}=\frac{2a_1+(n-1)d_1}{2a_2+(n-1)d_2}=\frac{7n+1}{4n+27}$$
Let ##n=21## in it.
 
  • Like
Likes   Reactions: WWGD and pasmith
For an AP we have [tex] S_n = an + \frac{dn(n-1)}{2} = \tfrac12n(nd + (2a - d))[/tex] which you seem to have found.

If @martinbn's method were not available, you could say that [tex] \frac{S_n^{(1)}}{S_n^{(2)}} = \frac{nd_1 + (2a_1 - d_1)}{nd_2 + (2a_2 - d_2)} = \frac{C(7n + 1)}{C(4n + 27)}[/tex] must hold for each [itex]n[/itex], so that [itex]d_1 = 7C[/itex], [itex]2a_1 - d_1 = C[/itex] etc. where [itex]C \neq 0[/itex] is a common factor which will cancel when you calculate [tex] \frac{a_1 + 10d_1}{a_2 + 10d_2}.[/tex]
 
martinbn said:
You want this
$$\frac{(t_1)_{11}}{(t_2)_{11}}=\frac{a_1+10d_1}{a_2+10d_2}$$
You know this
$$\frac{(S_1)_{n}}{(S_2)_{n}}=\frac{2a_1+(n-1)d_1}{2a_2+(n-1)d_2}=\frac{7n+1}{4n+27}$$
Let ##n=21## in it.
Nice, but don't you mean ##n=11##?
 
WWGD said:
Nice, but don't you mean ##n=11##?
No, you need to cacel a factor of 2.
 
Thank you @martinbn , @pasmith and others. I can solve using @martinbn 's suggestion in post #2.

I am required to find ##\dfrac{(t_1)_{11}}{(t_2)_{11}}=\boxed{\dfrac{a_1+10d_1}{a_2+10d_2}}=?##

I am given however that ##\boxed{\dfrac{(S_1)_{n}}{(S_2)_{n}}=\dfrac{2a_1+(n-1)d_1}{2a_2+(n-1)d_2}}=\dfrac{7n+1}{4n+27}##

The two boxed expressions above can be made to match if ##n = 21## in the second result.

Putting ##n = 21##, we obtain ##\mathbf{\dfrac{(t_1)_{11}}{(t_2)_{11}}}= \dfrac{a_1+10d_1}{a_2+10d_2} = \dfrac{7\times 21+1}{4\times 21+27} = \mathbf{\dfrac{148}{111}}##

This is the answer and it matches with the text. ##\checkmark##

Doubt : However, we also know that ##t_n = S_n - S_{n-1}##. Can this fact be used to find the answer?
 
Last edited:
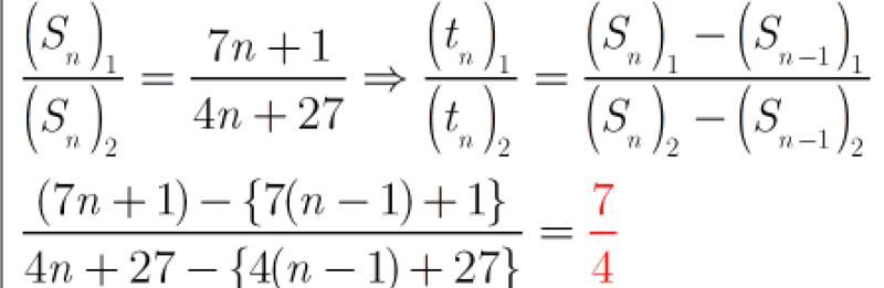
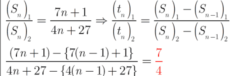
Arguing from my doubt above, I do the following :

1697008824776.png


The answer ##\dfrac{7}{4}## is incorrect.

A hint as to where I have gone wrong above would be very welcome.
 
brotherbobby said:
Arguing from my doubt above, I do the following :

View attachment 333435

The answer ##\dfrac{7}{4}## is incorrect.

A hint as to where I have gone wrong above would be very welcome.
You don't know if ##(S_n)_1=7n+1## and ##(S_n)_2=4n+27##. You just know what their ratio is.
 
martinbn said:
You don't know if ##(S_n)_1=7n+1## and ##(S_n)_2=4n+27##. You just know what their ratio is.
Yes, so I was suspecting. Can we find what is ##(S_n)_1## from the ratio ##\dfrac{(S_n)_1}{(S_n)_2}##?
 
  • #10
brotherbobby said:
Yes, so I was suspecting. Can we find what is ##(S_n)_1## from the ratio ##\dfrac{(S_n)_1}{(S_n)_2}##?

As I showed in my post, [tex](S_n)_i = \tfrac12 n(2a_i + (n-1)d_i) = \begin{cases}<br /> \frac12Cn(7n + 1)& i = 1 \\<br /> \frac12 Cn(4n + 27) & i = 2 \end{cases}[/tex] for some common factor [itex]C \neq 0[/itex] which we cannot determine. However, since we only want a ratio, it will cancel.

Then [tex]\begin{split}<br /> \frac{(S_n)_1 - (S_{n-1})_1}{(S_n)_2 - (S_{n-1})_2} &= \frac{ n(7n+1) - (n-1)(7n - 6)}{ n(4n + 27) - (n-1)(4n + 23)} \\ <br /> &= \frac{14n - 6}{8n + 23}. \end{split}[/tex]
 

Similar threads

  • · Replies 7 ·
Replies
7
Views
2K
Replies
12
Views
2K
Replies
7
Views
2K
  • · Replies 20 ·
Replies
20
Views
4K
  • · Replies 11 ·
Replies
11
Views
2K
  • · Replies 12 ·
Replies
12
Views
3K
Replies
7
Views
2K
  • · Replies 6 ·
Replies
6
Views
2K
Replies
3
Views
3K
  • · Replies 2 ·
Replies
2
Views
2K