Expand Expression for Small Values Of …

  • Thread starter Thread starter Saladsamurai
  • Start date Start date
  • Tags Tags
    Expression
Click For Summary

Homework Help Overview

The discussion revolves around a problem from Fluid Dynamics that involves expanding an expression for small values of a2/(bz) and z/b. Participants are trying to interpret the requirements of the problem and the implications of these small value assumptions on the given expression.

Discussion Character

  • Exploratory, Assumption checking

Approaches and Questions Raised

  • Participants are discussing the interpretation of the expression and the conditions for small values, questioning whether it should be z/b or b/z. There are attempts to simplify the logarithmic expression based on these assumptions.

Discussion Status

Some participants have offered interpretations of the small value conditions and how they might affect the expression. There is ongoing exploration of how to apply these assumptions in the context of a series expansion, but no consensus has been reached on the exact approach.

Contextual Notes

There is ambiguity in the problem statement regarding the small value conditions, leading to questions about the correct interpretation. Participants are also considering the implications of working with complex numbers in their simplifications.

Saladsamurai
Messages
3,009
Reaction score
7
I am working through a problem from a Fluid Dynamics course and I have gotten to a point on a problem where it says to "… expand the resulting expression for small values of a2/(bz) and for small z/b … "

I am not so sure how to interpret this? The expression that I am supposed to expand is:

[tex]F(z) = \frac{m}{2\pi}\ln\left [ \frac{(z+b)(z+a^2/b)}{(z-b)(z-a^2/b)}\right ] - \frac{mi}{2}[/tex]

where i is the imaginary number.

Also: do you think it is supposed to say "expand for small z/b" ? Or should it be for small "b/z" ?

I cannot seem to see where any (z/b)'s would come from?
 
Last edited:
Physics news on Phys.org
Saladsamurai said:
I am working through a problem from a Fluid Dynamics course and I have gotten to a point on a problem where it says to "… expand the resulting expression for small values of a2/bz and for small z/b … "
I'm going to interpret your ambiguous expression a2/bz to mean a2/(bz).

When they say "small z/b" what that means to me is that z << b. Possibly you've seen that notation before. If not, it means that z is very much smaller than b, which would make z/b a very small number. This means you can replace z + b with b, and z - b with -b.

When they say small values of a2/(bz), I interpret this to mean that a2/b << z. This means you can replace z + a2/b with z, and z - a2/b with z as well.

If I'm on the right track here, the log expression simplifies to ln[bz/(-bz)], or ln(-1) assuming that neither b nor z is zero. Since you're working with complex numbers, ln(-1) is defined, one value of which is i(pi), if I'm remembering my complex analysis correctly.

Hope that helps.
Saladsamurai said:
I am not so sure how to interpret this? The expression that I am supposed to expand is:

[tex]F(z) = \frac{m}{2\pi}\ln\left [ \frac{(z+b)(z+a^2/b)}{(z-b)(z-a^2/b)}\right ] - \frac{mi}{2}[/tex]

where i is the imaginary number.

Also: do you think it is supposed to say "expand for small z/b" ? Or should it be for small "b/z" ?

I cannot seem to see where any (z/b)'s would come from?
 
The first thing I would do is divide every term by the reciprocal, [itex]bz/a^2[/itex], the separate the (b/z) terms- that will, of course have (b/z) to negative powers.
 
Mark44 said:
I'm going to interpret your ambiguous expression a2/bz to mean a2/(bz).

Yes, this is correct. (Edited.)

HallsofIvy said:
The first thing I would do is divide every term by the reciprocal, [itex]bz/a^2[/itex], the separate the (b/z) terms- that will, of course have (b/z) to negative powers.

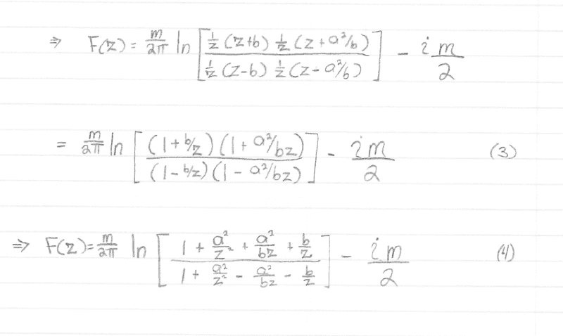
Before I saw this post divided everything by z and ended up with the following:

Screenshot2011-04-20at15428PM.png


I am just not sure when I am supposed to use the small z/b and small a^2/(bz) assumptions? I am pretty sure the "expand the resulting expression for small values ..." part of the problem statement means to use a Series expansion of the log term.
 

Similar threads

Replies
1
Views
2K
  • · Replies 9 ·
Replies
9
Views
3K
  • · Replies 2 ·
Replies
2
Views
1K
  • · Replies 9 ·
Replies
9
Views
2K
Replies
3
Views
2K
  • · Replies 3 ·
Replies
3
Views
2K
  • · Replies 3 ·
Replies
3
Views
2K
  • · Replies 4 ·
Replies
4
Views
2K
  • · Replies 2 ·
Replies
2
Views
2K
  • · Replies 3 ·
Replies
3
Views
2K