Expressing y(t) including the effects of air resistance & gravity

Click For Summary

Homework Help Overview

The discussion revolves around a particle moving upward in a gravitational field, facing air resistance. The original poster attempts to derive the position function of the particle over time, incorporating the effects of gravity and air resistance, represented by a force proportional to the particle's speed.

Discussion Character

  • Exploratory, Mathematical reasoning, Assumption checking

Approaches and Questions Raised

  • Participants discuss the integration process involved in deriving the position function, with some questioning the correctness of limits and the integration of exponential functions. There is also a focus on the relationship between mass, speed, and the forces acting on the particle.

Discussion Status

Several participants provide feedback on the original poster's integration attempts and suggest areas for correction, such as potential mistakes in the integration process and the handling of constants. The conversation indicates a collaborative effort to clarify misunderstandings and refine the approach without reaching a definitive conclusion.

Contextual Notes

The original poster mentions that the problem was initially framed in two dimensions but has been simplified to one dimension for the sake of discussion. There is also a note about using different symbols for constants to facilitate notation in LaTeX.

Cooojan

Homework Statement


[/B]
Hi everyone! So I've got this similar problem as I posted yesterday, but this one
is slightly different due to the presence of gravity:

A particle in gravitational field ##~~g##
starts traveling upward (positive direction) along the y-axis from ##~~y=0##
with the initial speed ##~~v_0≠0~~##,
where it faces air resistance ##~~F_R##

##F_R = -mbv~~~~## (where ##~v~## is the speed of the particle)

I have to show that the position of particle at any time can be expressed as following:

##y(t)= \frac 1b (v_0+ \frac gb)(1-e^{-bt})- \frac gb t##

Homework Equations



## \frac{dv}{dt}+bv = -g ##

The Attempt at a Solution


[/B]
So I found out that the expression for speed of the particle in this case is:

##v(y) = \frac 1b(b(v_0)e^{-bt}+ge^{-bt}-g))~~~~## (I believe this should be correct)

Further:

## v=\frac{dy}{dt} ~~~~⇒~~~~dy=v~dt~~~~⇒~~~~ \int \,dy= \int_0^t v\,dt ~~~~## (unsure if I've taken limits correctly)

When I do this integration, what I get - is something that somehow reminds of solution,
which I was suppose to come to:

Iget:

##y(t)= \frac1b(v_0)(1-e^{-bt}) + g- e^{-bt} - \frac gbt ##

when I should get:

##y(t)= \frac1b(v_0+ \frac gb )(1-e^{-bt}) - \frac gbt ##

If someone could point out what exactly am I doing wrong, would be awesome!
Also if you can comment on if I'm taking limits correctly.
In this case it doesn't really metter, I guess, but generally speaking - should I take same integration limits on both sides or not?
(as with: ##~~ \int \,dy= \int_0^t v\,dt ~~##)##~~~~~~~~~~~~~~~~~~~~~~~~~~~~~~~~~~~~~~~~~~~~~~~~~~~~~~~~~~~~~~~~~~~~~~~~~~~~~~~~~~~~~~~~~~~~~~~~~~~~~~~~~~~~~~~~~~~~~~~~~~~~~~~~~~~~~~~~~~~~~~~~~~~~~~~~~~~~~~~~~~~~~Thanx~a~lot !
~~##
 
Last edited by a moderator:
Physics news on Phys.org
Cooojan said:
FR=−mbv F_R = -mbv~~~~ (where v ~v~ is the speed of the particle)
Just to clarify, you are given that the retarding force due to air resistance is proportional to the object's mass? That doesn't seem correct...
 
No no! Its proportional to particles speed. Acceleration would then be equal to "-bv"
As you can see further below - mass is not mentioned anywhere else in equations
 
You made a mistake when integrating. The integral of eat is very easy to get wrong by mistake. I also think you dropped a g somewhere.
You can also look at the units too see which terms are wrong. y(t) = g + ... can't be right.
 
20171020_191933.jpg
 

Attachments

  • 20171020_191933.jpg
    20171020_191933.jpg
    37.7 KB · Views: 386
! Oh !
I forgot to mention that originaly, this was a 2D problem, so that is why I'm using ##v_0~sinθ## in my calculations on paper,
and not just ##v_0##, as I did in my post.
But I already solved for x-axis, so I didnt want u guys to think of any unnecessities, while helping me out.
So I just turned the whole thing into a 1d problem. I hope u don't mind. :)
And also I used ##b## instead of ##α##, just so it would be faster for me to write it down in ##LaTeX##.

So that's what I did to get there...
I still can't get this right. If u have any suggestions, u r more then welcome to share))
Many thanx!
 
Last edited by a moderator:
Cooojan said:
So that's what I did to get there...
I still can't get this right. If u have any suggestions, u r more then welcome to share))
Many thanx!

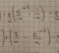
You're nearly there. The 1/a factors are ok now, but you forgot to multiply both terms with g here.

upload_2017-10-22_11-3-23.png
 

Attachments

  • upload_2017-10-22_11-2-50.png
    upload_2017-10-22_11-2-50.png
    37.6 KB · Views: 574
  • upload_2017-10-22_11-3-10.png
    upload_2017-10-22_11-3-10.png
    35.3 KB · Views: 568
  • upload_2017-10-22_11-3-23.png
    upload_2017-10-22_11-3-23.png
    9.9 KB · Views: 898
  • Like
Likes   Reactions: Cooojan
willem2 said:
You're nearly there. The 1/a factors are ok now, but you forgot to multiply both terms with g here.

View attachment 213529
True story, my fault! Thank u)) How didnt I see this??
Was pretty close and even checked thrue integration several times... Now I got it right! Cant thank you enough))))))))))
 
Last edited by a moderator:

Similar threads

Replies
30
Views
2K
  • · Replies 2 ·
Replies
2
Views
2K
  • · Replies 11 ·
Replies
11
Views
3K
Replies
6
Views
3K
Replies
2
Views
1K
  • · Replies 7 ·
Replies
7
Views
3K
  • · Replies 12 ·
Replies
12
Views
2K
  • · Replies 21 ·
Replies
21
Views
4K
Replies
9
Views
2K
Replies
3
Views
2K