Find (f of g)' at x=0: (6u)/(u^2+5) where u=4x^2+5x+1 and g'(x)=8x+5

  • Thread starter Thread starter b0mberman
  • Start date Start date
Click For Summary

Homework Help Overview

The problem involves finding the derivative of a composite function, specifically (f of g)' at x=0, where f(u) is defined as (6u)/(u^2+5) and u is given by g(x)=4x^2+5x+1. The original poster expresses difficulty in arriving at the correct answer after multiple attempts.

Discussion Character

  • Exploratory, Mathematical reasoning, Assumption checking

Approaches and Questions Raised

  • The original poster attempts to differentiate using the chain rule and applies it to both f and g. They express uncertainty about a potential error in their differentiation process.
  • Some participants question the application of the quotient rule and clarify the need to evaluate f' at g(0).
  • Others suggest confirming the values of g(0) and g'(0) to ensure proper evaluation of the composite function's derivative.

Discussion Status

The discussion is ongoing, with participants exploring different interpretations of the differentiation process. Some guidance has been offered regarding the correct evaluation of f' at g(0), and there is a recognition of the original poster's misunderstanding of the application of the chain rule.

Contextual Notes

The original poster notes that they have been working on the problem for an extended period and suspect a simple mathematical error. There is also mention of a previous problem where a similar method yielded the correct result, adding to their confusion.

b0mberman
Messages
4
Reaction score
0
1.Question
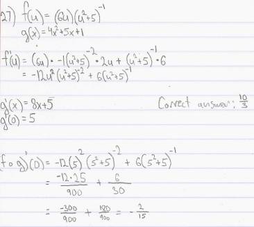
Find the value of (f of g)' at the given value of x.
f(u)= (6u)/(u^2+5)
u=g(x)=4x^2+5x+1
x=0

2. The attempt at a solution
f'(u) = (6u) x -1(u^2+5)^(-2) x 2u + (u^2+5)^(-1) x 6
'= -12u^2 x (u^2+5)^(-2) + 6(u^2+5)^(-1)

g'(x) = 8x+5
g'(0) = 5

(f of g)'(0) = -12(5)^2 x (5^2 + 5)^(-2) + 6(5^2+5)^(-1)
= (-12x25)/900 + 6/30
= (-300/900) + 180/900 = -2/15

Correct answer: 10/3

Thank you ahead of time, I have been working on this simple calculus question for at least 2 hours and just can not get the right answer. I am guessing it is a simple mathematical error in the differentiating somewhere so I have posted it here so hopefully someone could point it out.

Thank you, b0mberman
 

Attachments

  • scan0001.jpg
    scan0001.jpg
    12.8 KB · Views: 456
Physics news on Phys.org
Apply the chain rule

f(g(x))' = f'(g(x)) * g(x)
 
I have if you did not notice I applied chain rule to f than to g then did (f of g), unless you mean something else
 
[tex]f'(u) = \frac{-6(u^-5)}{(x^2+5)^2[/tex] -- I think you might've applied the quotient rule incorrectly :-/

[tex]g(0) = 1[/tex]

[tex]g'(x) = 8x+5[/tex]

It's f'(g(0)) so,

(f o g)' = f'(1)*g'(0), right?
 
Last edited:
Yes, but where did f'(1) come from? Sorry...
 
Well it's

f'(g(x))*g'(x)

and g(0) = 1 so it's f'(1)*g'(0)
 
OK I see now, I was just thinking of that after your first post(where the 1 came from), OK I understand now. I did not do (f of g)' right. Thank you very much!

P.S.
The funny thing is I used the same method for the problem before(the wrong method) and it came out right! f(u) = u^7 + 8
u=g(x)=4x^2 +5x+1, x=0
 

Similar threads

Replies
2
Views
2K
  • · Replies 11 ·
Replies
11
Views
2K
  • · Replies 3 ·
Replies
3
Views
1K
Replies
5
Views
2K
  • · Replies 11 ·
Replies
11
Views
2K
Replies
11
Views
2K
  • · Replies 9 ·
Replies
9
Views
4K
  • · Replies 3 ·
Replies
3
Views
2K
  • · Replies 15 ·
Replies
15
Views
2K
  • · Replies 3 ·
Replies
3
Views
1K