Find magnetic flux density(B) via vector potential(A)

Click For Summary

Homework Help Overview

The discussion revolves around finding the magnetic flux density (B) using the vector potential (A) in the context of electromagnetism. Participants are exploring the relationship between these concepts and the implications of integrating over infinite domains.

Discussion Character

  • Exploratory, Assumption checking, Mathematical reasoning

Approaches and Questions Raised

  • The original poster attempts to derive B from A using curl A but encounters discrepancies with book solutions. Others question the correctness of the original poster's formulation of R in terms of x, y, z, particularly regarding the exponent used.
  • Further, participants discuss the challenges of dealing with infinite integrals, particularly in the context of calculating potentials from charge distributions that extend to infinity.

Discussion Status

Participants are actively engaging with the problem, raising questions about the formulation and the implications of infinite integrals. Some guidance has been offered regarding redefining potential to avoid divergence issues, suggesting a productive direction for the discussion.

Contextual Notes

There are constraints related to the assumptions made about potential at infinity, and the discussion highlights the complexities of integrating over infinite domains in electromagnetism.

baby_1
Messages
159
Reaction score
16
Hello
As you know we can find the flux density (B) via vector potential with this equation
gif.gif

So with this equation and solution at first i try to find vector potential completely then use above equation

Problem:
7085326300_1398155382.jpg

Solution:
5925891300_1398155383.jpg


my approach:
gif.gif


gif.gif


gif.gif


now we use curl A to find B
5024359900_1398156076.jpg

we find that
gif.gif


but it is different form the book soltuion

what is my problem and wrong?

Thanks
 
Last edited:
Physics news on Phys.org
baby_1 said:
my approach:
gif.latex?A%3D%5Cint%20%5Cfrac%7B%5Cmu%20Ids%7D%7B4%5Cpi%20R%7D.gif


Cvec%7Bay%7Ddxdy%7D%7B%5Cpi%20%28x%5E2+y%5E2+z%5E2%29%5E%7B%5Cfrac%7B3%7D%7B2%7D%7D%7D.gif
Note how you wrote R in terms of x, y, z. Is the 3/2 power correct?
 
  • Like
Likes   Reactions: 1 person
Thanks Dear Tsny.you'r correct
as i want to solve the new integral
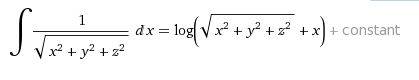
Cvec%7Bay%7Ddxdy%7D%7B%5Cpi%20%28x%5E2+y%5E2+z%5E2%29%5E%7B%5Cfrac%7B1%7D%7B2%7D%7D%7D.gif

a new problem appears

for example if i want to calculate the inner integral the integral going to be infinite.
8967079300_1398439030.jpg


%7B%5Cfrac%7B1%7D%7B2%7D%7D%7D%3Dln%28+%5Cinfty%20%29-ln%28%5Csqrt%7By%5E2+z%5E2%7D%29.gif


Ln(infinite)=infinite

now how can solve this problem?
Thanks
 
Yes, the integral is infinite. It's similar to trying to finding the potential V of an infinite line charge by integrating dV = k dq/r. Here you will also get a divergent integral. This is due to the charge distribution extending to infinity while at the same time trying to take the potential to be zero at infinity. (Note kdq/r goes to zero at infinity.)

You can avoid the problem by not demanding that the potential be zero at infinity. For example, in the infinite line charge example, you can pick an arbitrary point in space to be zero potential. The potential at other points is then defined relative to this chosen point.

You can try a similar trick for the vector potential. Thus define A as the following (with constants left out)

$$\int_{0}^{\infty} \int_{0}^{\infty} \frac{1}{\sqrt{x^2 +y^2+z^2}} dx dy - \int_{0}^{\infty} \int_{0}^{\infty} \frac{1}{\sqrt{x^2 +y^2+z_0^2}} dx dy$$

##z_0## is just an arbitrarily chosen point on the z axis where you are taking A to be 0.

Each integral individually diverges. But if you combine the integrals before letting the upper limits go to infinity, you get a finite result that you can use for A.
 
  • Like
Likes   Reactions: 1 person

Similar threads

Replies
4
Views
2K
  • · Replies 3 ·
Replies
3
Views
3K
Replies
3
Views
2K
  • · Replies 1 ·
Replies
1
Views
2K
  • · Replies 6 ·
Replies
6
Views
4K
  • · Replies 4 ·
Replies
4
Views
3K
Replies
19
Views
3K
  • · Replies 2 ·
Replies
2
Views
2K
Replies
5
Views
4K
  • · Replies 2 ·
Replies
2
Views
3K