Find the angular velocity of this linkage

Click For Summary

Homework Help Overview

The discussion revolves around determining the angular velocity of a linkage system using trigonometry and instant centers. Participants are exploring the relationships between various points in the system, particularly focusing on the angular velocity of point D, which is stated to be 4 rad/s, although the original poster expresses uncertainty about this result.

Discussion Character

  • Mixed

Approaches and Questions Raised

  • Participants discuss using trigonometric relationships and the concept of instant centers to analyze the linkage. There are attempts to derive equations relating the coordinates and velocities of points in the system, with some questioning the assumptions made regarding the motion of point E and the implications for point D's angular velocity.

Discussion Status

There is an ongoing exploration of the problem with various participants offering insights and questioning the original poster's calculations. Some guidance has been provided regarding the use of velocity diagrams and the constraints on the movement of points E and D. However, there is no explicit consensus on the correct approach or the validity of the calculations presented.

Contextual Notes

Participants are constrained to using only trigonometry and instant centers for their analysis, and there is a noted uncertainty regarding the correctness of the calculations and assumptions made throughout the discussion.

Noob of the Maths
Messages
52
Reaction score
6
Homework Statement
If the angular velocity of link AB is w(AB)=4 rad/s at the instant shown, determine the velocity of the sliding block E at that instant. Also, identify the type of motion of each of the four links.
Relevant Equations
V = w(r)
Captura de Pantalla 2021-09-14 a la(s) 0.10.22.png

Hi! everyone! ;)

I have a problem with the development of this problem.

I need to resolve it with 2 procedures: trigonometry and instant centers. My advance can be see in the next image:

Captura de Pantalla 2021-09-14 a la(s) 0.29.12.png


The instant centers procediment its (1) up and trigonometry procediment its (2) down.

I know that the result its 4 rads/s. But in my answer its not make the sense ;( and i don't know why the angular velocity of "D" its 4 rads/s.

PD: I don't can use cross product for resolve it... only trigonometry and instant centers (separately).

Thanks for read ;)
 
Physics news on Phys.org
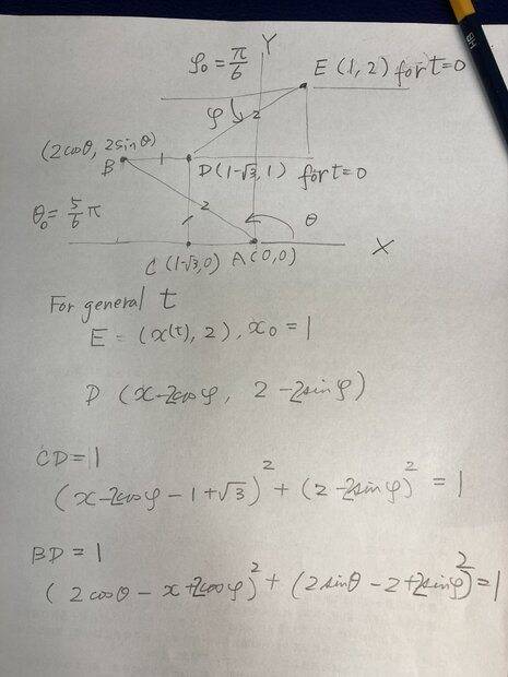
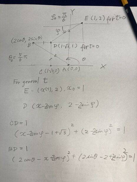
I would introduce xy coordinate as sketched.
From these linear equations for sin##\phi## and cos##\phi## we can delete ##\phi## and get x, the horizontal coordinate of E, as function of ##\theta## which is function of time.

[EDIT] The formula are written as
[tex](x/2-\cos\phi-\beta)^2+(1-\sin\phi)^2=1/4[/tex]
[tex](x/2-\cos\phi-\cos\theta)^2+(1-\sin\phi-\sin \theta)^2=1/4[/tex]
where
[tex]\beta=\frac{\sqrt{3}-1}{2}=\frac{1}{\sqrt{3}+1}[/tex]
Solving this equation for sin##\phi## and cos##\phi## and using the relation
[tex]\sin^2\phi+\cos^2\phi=1[/tex]
The relation of x and ##\theta## is given as
[tex](b_1c_2-b_2c_1)^2+(c_1a_2-c_2a_1)^2=(a_1b_2-a_2b_1)^2...(1)[/tex]
where
[tex]a_1=1[/tex]
[tex]a_2=1-\sin\theta[/tex]
[tex]b_1=\frac{x}{2}+\frac{\sqrt{3}-1}{2}[/tex]
[tex]b_2=\frac{x}{2}-\cos\theta[/tex]
[tex]c_1=\frac{3}{8}+\frac{a_1^2+b_1^2}{2}[/tex]
[tex]c_2=\frac{3}{8}+\frac{a_2^2+b_2^2}{2}[/tex]
Differentiating (1) by t for t=0 we would know ##\dot{x}(t=0)##. After calculation I got
[tex]\dot{x}=-3.017 r\dot{\theta}[/tex] for initial time t=0, where r is 1 length unit for rods. I do not have trust of my calculation. I should appreciate it if someone would challenge it too.
 

Attachments

  • 2021-09-15 21.16.39.jpg
    2021-09-15 21.16.39.jpg
    32.6 KB · Views: 167
Last edited:
anuttarasammyak said:
I would introduce xy coordinate as sketched.
From these linear equations for sin##\phi## and cos##\phi## we can delete ##\phi## and get x, the horizontal coordinate of E, as function of ##\theta## which is function of time.
yep, i can use a free body diagram, but in this pariticulary case i only can use the procedure as I put it. The most important are the traslation and rotation diagram and the use of angles in triangles.
 
Noob of the Maths said:
yep, i can use a free body diagram, but in this pariticulary case i only can use the procedure as I put it. The most important are the traslation and rotation diagram and the use of angles in triangles.
Hi, I think you should put this into the engineering forum. Does your method allow for sketching velocity diagrams?
 
Master1022 said:
Hi, I think you should put this into the engineering forum. Does your method allow for sketching velocity diagrams?
Yes, velocity diagrams its allowed. Hi :)
 
Noob of the Maths said:
Yes, velocity diagrams its allowed. Hi :)
Cool, so the steps I would think about when going down the velocity diagram route are:
1. A and C are fixed
2. E is constrained to pure horizontal movement, as is D (in this case) as CD is vertical
3. We know ##\omega_{AB}## and thus know where point B is
4. To get from point B to point D, we then know there must be a rotation between the two
5. Then to get from D to E, given that E is constrained to horizontal movement, it suggests to me that ##\omega_{DE} = 0## at this instant. However, you said that the answer is ##\omega_{DE} = 4 ## rad/s, or did I misunderstand what you said?

I hope this rough outline makes sense. I can try to make a sketch a bit later
 
Master1022 said:
Cool, so the steps I would think about when going down the velocity diagram route are:
1. A and C are fixed
2. E is constrained to pure horizontal movement, as is D (in this case) as CD is vertical
3. We know ##\omega_{AB}## and thus know where point B is
4. To get from point B to point D, we then know there must be a rotation between the two
5. Then to get from D to E, given that E is constrained to horizontal movement, it suggests to me that ##\omega_{DE} = 0## at this instant. However, you said that the answer is ##\omega_{DE} = 4 ## rad/s, or did I misunderstand what you said?

I hope this rough outline makes sense. I can try to make a sketch a bit later
This very helpful!, i know that my mistakes its in the diagram and their angles. wDE= 4 rad/s based on assumptions,
 
Consider that:
1) E can only have horizontal movement.
2) Only the horizontal component of the instantaneous velocity of D has influence on E.
3) Because both are connected by a horizontal link, the horizontal components of the instantaneous velocity of D and B must be equal.
4) Since you are given the angular velocity of the 2 feet long link AB, you can calculate the tangential velocity of B and then, its instantaneous horizontal component.
 
anuttarasammyak said:
I should appreciate it if someone would challenge it too.
You are way overthinking it.
It is really quite simple following @Lnewqban's scheme.
 
  • Like
Likes   Reactions: Lnewqban and anuttarasammyak

Similar threads

  • · Replies 10 ·
Replies
10
Views
4K
  • · Replies 62 ·
3
Replies
62
Views
7K
Replies
3
Views
2K
  • · Replies 11 ·
Replies
11
Views
4K
  • · Replies 17 ·
Replies
17
Views
3K
  • · Replies 9 ·
Replies
9
Views
1K
  • · Replies 3 ·
Replies
3
Views
9K
Replies
67
Views
5K
  • · Replies 4 ·
Replies
4
Views
2K
Replies
25
Views
3K