Find the Lagrangian of this single mass system

Click For Summary

Homework Help Overview

The discussion revolves around the setup of the Lagrangian for a single mass system involving springs with zero equilibrium lengths. Participants are exploring concepts related to potential energy and the implications of their assumptions regarding the system's configuration.

Discussion Character

  • Conceptual clarification, Assumption checking, Exploratory

Approaches and Questions Raised

  • Participants are questioning the correctness of the Lagrangian setup and the equations involved. There are inquiries about the meaning of zero equilibrium lengths for springs and the formula for elastic potential energy. Some participants discuss their interpretations of the system's configuration and the implications for potential energy calculations.

Discussion Status

The discussion is active, with participants providing insights and clarifications regarding the assumptions made in the problem. There is an exploration of different interpretations of the system's parameters, and some guidance has been offered regarding the potential energy of the springs.

Contextual Notes

Participants are working under the constraints of homework rules, which may limit the depth of exploration into the problem. There is a focus on understanding the implications of the chosen coordinate system and the assumptions about spring lengths.

MyoPhilosopher
Messages
41
Reaction score
4
Homework Statement
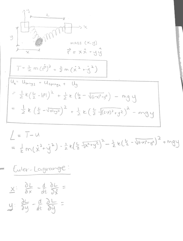
Find the lagrangian of the following system (pic included below)
Relevant Equations
L = T - U
1582971855522.png


1582971879118.png
 
Last edited by a moderator:
Physics news on Phys.org
Is there a question in this ?
 
BvU said:
Is there a question in this ?
sorry, is my Langragian set up and equations correct?
 
Did you check them thoroughly ? That should be enough, shouldn't it ?
 
BvU said:
Did you check them thoroughly ? That should be enough, shouldn't it ?
Thanks for the help
 
MyoPhilosopher said:
sorry, is my Langragian set up and equations correct?
What does it mean that the springs have zero equilibrium lengths?
What is the elastic potential energy?
 
ehild said:
What does it mean that the springs have zero equilibrium lengths?
What is the elastic potential energy?
1. I understand it as that at the mass in the center of the blocks and at y=0 in my pic, and lengths L/2 for each spring, is 0 equilibrium
2. I have the two elastic PEs in the post above individually
 
MyoPhilosopher said:
1. I understand it as that at the mass in the center of the blocks and at y=0 in my pic, and lengths L/2 for each spring, is 0 equilibrium
2. I have the two elastic PEs in the post above individually
Zero equilibrium length means zero length when the spring is unstretched. You assumed that the unstretched length is L.
What is the formula for the potential energy of a spring?
 
Zero equilibrium length means spring energy is zero at spring length zero. Unrealistic, but pobably set like that to make it easier for you !
 
  • #10
ehild said:
Zero equilibrium length means zero length when the spring is unstretched. You assumed that the unstretched length is L.
What is the formula for the potential energy of a spring?
I assumed the unstreched length of each spring was L/2. 1/2 * k(Δx)^2
 
  • #11
BvU said:
Zero equilibrium length means spring energy is zero at spring length zero. Unrealistic, but pobably set like that to make it easier for you !
Alright so my equations for potential should quite literally use the (ΔLength = current length). so essentially 0.5k(0-currentl length)^2
 
  • #12
That is my interpretation, yes.
 
  • #13
Quesion: why did you choose the origin like that, instead of at the very center ?
 
  • #14
BvU said:
That is my interpretation, yes.
That makes sense thank you I misread and misunderstood that. Can I ask why the momentum of the mass or object is not conserved? Would be due to constantly changing velocities of the object?
 
  • #15
BvU said:
Quesion: why did you choose the origin like that, instead of at the very center ?
My first attempt was using polar coordinates but that did not work easily. I chose those points to get a clear x_dot and y_dot for my kinetic energy.
 

Similar threads

  • · Replies 15 ·
Replies
15
Views
3K
  • · Replies 0 ·
Replies
0
Views
2K
Replies
1
Views
1K
  • · Replies 1 ·
Replies
1
Views
2K
  • · Replies 13 ·
Replies
13
Views
3K
  • · Replies 2 ·
Replies
2
Views
2K
Replies
5
Views
2K
  • · Replies 1 ·
Replies
1
Views
2K
  • · Replies 5 ·
Replies
5
Views
2K
  • · Replies 1 ·
Replies
1
Views
2K