Find the MacLaurin polynomial of degree 5 for F(x).

Click For Summary

Homework Help Overview

The discussion revolves around finding the Maclaurin polynomial of degree 5 for a function F(x), with participants attempting to clarify the correct evaluation of derivatives and the function's value at zero.

Discussion Character

  • Conceptual clarification, Assumption checking, Mixed

Approaches and Questions Raised

  • Participants explore the evaluation of F(0) and its derivatives, questioning the correctness of their calculations and assumptions regarding the function's behavior at zero.

Discussion Status

There is ongoing clarification regarding the values of F(0) and F'(0), with some participants suggesting that earlier calculations may have been misaligned. Guidance has been offered to reconsider the evaluation of derivatives and the implications of the integral's limits.

Contextual Notes

Participants note that the original poster's calculations may have been affected by a misunderstanding of the derivative count and the evaluation of the integral from 0 to 0, which is central to the problem.

McAfee
Messages
96
Reaction score
1

Homework Statement



Ru8dm.jpg


Homework Equations



NumberedEquation1.gif


The Attempt at a Solution



6Uscs.jpg


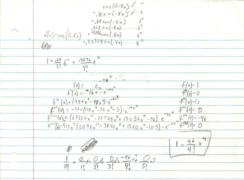
I keep getting the answer 1- 96/4!*x^4. Can't find where I'm going wrong.
 
Physics news on Phys.org
It's really hard to tell what you are doing from the blurry photograph. Can you explain? What are F(0), F'(0), F''(0) etc?
 
Dick said:
It's really hard to tell what you are doing from the blurry photograph. Can you explain? What are F(0), F'(0), F''(0) etc?

Sorry for the blurriness. This should be clearer.

As you can see I get the answer in the box. I can't figure out what I'm doing wrong here.

44444444444444444444444444440001.jpg
 
Much clearer, thanks! Now I see where you are going wrong. f(0)=0, isn't it? It's f'(0) that is 1. And if you think about it, you didn't have to compute a lot of those terms involving high powers of x. But that's in retrospect.
 
Dick said:
Much clearer, thanks! Now I see where you are going wrong. f(0)=0, isn't it? It's f'(0) that is 1. And if you think about it, you didn't have to compute a lot of those terms involving high powers of x. But that's in retrospect.

I'm still not getting the correct answer.
I think f(0)=1. 0^4=0 0 times -4 equals 0 and then e to the power of 0 equals 1.
 
McAfee said:
I'm still not getting the correct answer.
I think f(0)=1. 0^4=0 0 times -4 equals 0 and then e to the power of 0 equals 1.

Nooo. f(0) is the integral from 0 to 0 of e^(-4t^4). That's zero! f'(0) is exp(-4t^2) evaluated at t=0. Your derivative count is off by one!
 
Dick said:
Nooo. f(0) is the integral from 0 to 0 of e^(-4t^4). That's zero! f'(0) is exp(-4t^2) evaluated at t=0. Your derivative count is off by one!

So it should be x-(96/5!)*x^5 ?
 
McAfee said:
So it should be x-(96/5!)*x^5 ?

Yes, it should. But I don't like that '?' in the answer. You do see why, don't you?
 
Dick said:
Yes, it should. But I don't like that '?' in the answer. You do see why, don't you?

Honestly, it is the right answer but I don't see why. Is there something special with finding a maclaurin polynomial of a function that includes e?
 
  • #10
McAfee said:
Honestly, it is the right answer but I don't see why. Is there something special with finding a maclaurin polynomial of a function that includes e?

No, nothing special about e. You don't agree f(0)=0? Suppose the function in your integral was just 1. What are f(0) and f'(0)?
 
  • #11
Dick said:
No, nothing special about e. You don't agree f(0)=0? Suppose the function in your integral was just 1. What are f(0) and f'(0)?


f(0) would be 1 and f'(0) would be 0

Looking at it again is it because of the integral would be from 0 to 0
 
  • #12
McAfee said:
f(0) would be 1 and f'(0) would be 0

Looking at it again is it because of the integral would be from 0 to 0

If you are integrating 1 from 0 to x, then f(x)=x. I can say pretty definitely that f(0)=0. f'(0)=1.
 
  • #13
Dick said:
If you are integrating 1 from 0 to x, then f(x)=x. I can say pretty definitely that f(0)=0. f'(0)=1.

Can it basically be a rule if you integrating from 0 to x, that the first term is 0 followed by the second term being x?
 
  • #14
McAfee said:
Can it basically be a rule if you integrating from 0 to x, that the first term is 0 followed by the second term being x?

You can't simplify it that much. Integrate 2 from 0 to x. The point of the example is just to show what you were doing wrong. f(0) is always zero, sure. f'(0) depends on the value of the integrand at 0. You just had your derivatives shifted by one. That's all.
 
  • #15
Dick said:
You can't simplify it that much. Integrate 2 from 0 to x. The point of the example is just to show what you were doing wrong. f(0) is always zero, sure. f'(0) depends on the value of the integrand at 0. You just had your derivatives shifted by one. That's all.

OK. I understand it now. Thanks for sticking with me until I understood. I have a final for college coming up so understanding this was very pivotal. Thanks, once again.
 

Similar threads

  • · Replies 6 ·
Replies
6
Views
2K
  • · Replies 6 ·
Replies
6
Views
2K
Replies
5
Views
2K
  • · Replies 6 ·
Replies
6
Views
3K
  • · Replies 1 ·
Replies
1
Views
3K
Replies
3
Views
2K
  • · Replies 2 ·
Replies
2
Views
2K
  • · Replies 4 ·
Replies
4
Views
2K
  • · Replies 38 ·
2
Replies
38
Views
4K
  • · Replies 1 ·
Replies
1
Views
3K