Find volume of this object using integrals

  • Thread starter Thread starter ananonanunes
  • Start date Start date
  • Tags Tags
    Integrals Volume
Click For Summary

Homework Help Overview

The discussion revolves around finding the volume of a 3D object using multiple integrals. Participants are exploring different coordinate systems, including Cartesian, cylindrical, and spherical coordinates, to set up their integrals correctly.

Discussion Character

  • Exploratory, Assumption checking, Problem interpretation

Approaches and Questions Raised

  • Participants discuss their attempts to visualize the object and its slices, questioning the limits of integration and the appropriate coordinate system to use. There are inquiries about writing the area of slices in terms of z and the equation for the circle in polar coordinates.

Discussion Status

Some participants have suggested that cylindrical coordinates might be effective, while others are examining the implications of different placements of the origin in cylindrical coordinates. There is an acknowledgment of potential issues with the limits of integration, and guidance has been offered regarding the setup of the integrals.

Contextual Notes

Participants are working under the constraints of homework rules, which may limit the information they can share. The final result is noted as being expected to be 32/9, but this is not a focus of the discussion.

ananonanunes
Messages
19
Reaction score
6
Homework Statement
_
Relevant Equations
_
1685030223409.png


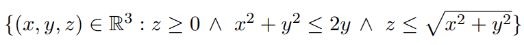
I am given this expression which represents an object in 3D and the goal is to determine its volume using multiple integrals.
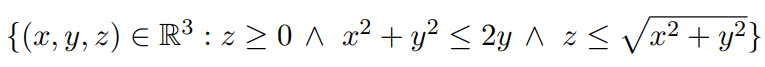
I started by drawing what I think is the object as well as two "slices" of that object on different planes (z=2 and z=1)

1685030427777.png


I have tried using cartesian, cylindrical and spherical coorddinates but I get a final result that seems impossible to integrate. My first instinct was to try to use Cavalieri's principle but I can't find a way to write the area of each "slice" only in terms of z. I think the problem is I'm not writing the limits of integration correctly so if anyone could help me out with that, it would be much appreciated.

(Final result is supposed to be 32/9)
 
Physics news on Phys.org
ananonanunes said:
Homework Statement: _
Relevant Equations: _

View attachment 327066

I am given this expression which represents an object in 3D and the goal is to determine its volume using multiple integrals.
I started by drawing what I think is the object as well as two "slices" of that object on different planes (z=2 and z=1)

View attachment 327067

I have tried using cartesian, cylindrical and spherical coordinates but I get a final result that seems impossible to integrate. My first instinct was to try to use Cavalieri's principle but I can't find a way to write the area of each "slice" only in terms of z. I think the problem is I'm not writing the limits of integration correctly so if anyone could help me out with that, it would be much appreciated.

(Final result is supposed to be 32/9)
It looks to me like cylindrical co-coordinates will work.

In what order did you do the integration, when you tried them?

Added in Edit:
Maybe not...
 
Last edited:
  • Like
Likes   Reactions: ananonanunes
ananonanunes said:
I think the problem is I'm not writing the limits of integration correctly so if anyone could help me out with that, it would be much appreciated.
Can you write down the equation for the circle in polar coordinates?
 
  • Like
Likes   Reactions: ananonanunes
There are two options:
1) You can place the origin of the cylindrical coordinates at the origin.
(2) You can place the origin of the cylindrical coordinates at the centre of the circle [itex]x^2 + (y-1)^2 = 1[/itex].

The first of these leads to a simple integral; the other does not.
 
  • Like
Likes   Reactions: ananonanunes
SammyS said:
It looks to me like cylindrical co-coordinates will work.

In what order did you do the integration, when you tried them?

Added in Edit:
Maybe not...
I tried integrating first z then r then teta because i wrote z in terms of r and r in terms of teta
 
vela said:
Can you write down the equation for the circle in polar coordinates?
I think that might be where my problem was but now that I look at it again it should be something like 0≤r≤2sinθ ; 0θ≤π
 
pasmith said:
There are two options:
1) You can place the origin of the cylindrical coordinates at the origin.
(2) You can place the origin of the cylindrical coordinates at the centre of the circle [itex]x^2 + (y-1)^2 = 1[/itex].

The first of these leads to a simple integral; the other does not.
I understand what you mean, thanks for the help
 

Similar threads

  • · Replies 9 ·
Replies
9
Views
3K
  • · Replies 2 ·
Replies
2
Views
2K
  • · Replies 8 ·
Replies
8
Views
1K
Replies
2
Views
1K
Replies
2
Views
2K
Replies
27
Views
4K
  • · Replies 6 ·
Replies
6
Views
3K
  • · Replies 9 ·
Replies
9
Views
2K
  • · Replies 10 ·
Replies
10
Views
3K
Replies
4
Views
3K