Find x(t) for a ball travelling down a cycloid under gravity

  • Thread starter Thread starter RileyF1
  • Start date Start date
  • Tags Tags
    Ball Gravity
Click For Summary

Homework Help Overview

The discussion revolves around finding the equations of motion for a ball traveling down a cycloid under the influence of gravity, specifically in the context of modeling the brachistochrone problem using MATLAB. The original poster expresses difficulty in deriving an equation for x(t) from the parametric equations of the cycloid, which are typically given in terms of the angle theta.

Discussion Character

  • Exploratory, Conceptual clarification, Mathematical reasoning, Problem interpretation, Assumption checking

Approaches and Questions Raised

  • Participants discuss the possibility of deriving equations using Lagrangian dynamics and express uncertainty about how to incorporate time into the equations. There are attempts to differentiate the Lagrangian with respect to theta and its derivatives, along with questions about the proper application of the chain rule. Some participants suggest numerical solutions or simulations as alternatives to analytical methods.

Discussion Status

The discussion is ongoing, with various participants providing insights into the use of Lagrangian mechanics and numerical methods. Some guidance has been offered regarding the setup of the Lagrangian and the differentiation process, but there is no explicit consensus on the best approach to take. The original poster and others continue to seek clarification on specific steps and concepts.

Contextual Notes

There is mention of the original poster's uncertainty about whether an analytical solution is necessary or if a numerical simulation would suffice. Additionally, the original poster is working under the constraints of homework requirements, which may influence their approach to the problem.

RileyF1
Messages
6
Reaction score
0

Homework Statement



I want to find the equations of motion for a ball traveling down a cycloid under gravity so I can model the brachistochrone problem on matlab. I've looked online everywhere and can only find the equations for x and y with respect to theta (of the cycloid). I'm guessing then that I'd have to find an equation for the angle with respect to the time and then work with that to find x(t) but I have no idea how to do it.

Homework Equations



Equations for cycloid:

http://www.myphysicslab.com/eqns/Brachistochrone066.png
http://www.myphysicslab.com/eqns/Brachistochrone055.png
Snapshot.jpg

[/B]
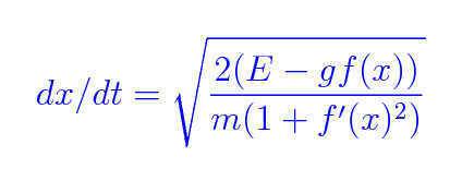
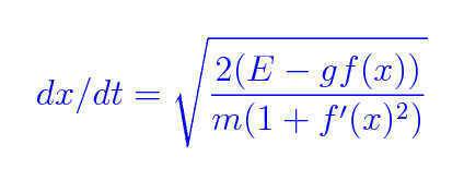
I derived this equation (with the help of Ray Vickson) where you can just sub in f(x) but obviously its a little more difficult when you've got parametric equations for a cycloid.


The Attempt at a Solution



Well using those cycloid equations, I can find dx/d0 = a - cos0 (0 is supposed to be theta, I am not sure how you generate equations)

and dy/d0 = sin0

then from that we can find dy/dx = sin0/(a - cos0)
I know I've got to bring the time into it somehow but I have no idea how. I've thought about using the chain rule but I don't know how to apply that. To be fair I'm not even entirely sure what I'm trying to find, whether it be d0/dt or what.

Any tips you have are helpful, thanks!
 
Last edited by a moderator:
Physics news on Phys.org
I'm not sure if an analytic solution is possible. You can certainly set up an integral, but solving this could be tricky. Is a numerical solution okay?
 
  • Like
Likes   Reactions: RileyF1
RileyF1 said:

Homework Statement



I want to find the equations of motion for a ball traveling down a cycloid under gravity so I can model the brachistochrone problem on matlab. I've looked online everywhere and can only find the equations for x and y with respect to theta (of the cycloid). I'm guessing then that I'd have to find an equation for the angle with respect to the time and then work with that to find x(t) but I have no idea how to do it.

Homework Equations



Equations for cycloid:

http://www.myphysicslab.com/eqns/Brachistochrone066.png
http://www.myphysicslab.com/eqns/Brachistochrone055.png
View attachment 83677
[/B]
I derived this equation (with the help of Ray Vickson) where you can just sub in f(x) but obviously its a little more difficult when you've got parametric equations for a cycloid.


The Attempt at a Solution



Well using those cycloid equations, I can finddx/d0 = a - cos0 (0 is supposed to be theta, I am not sure how you generate equations)

and dy/d0 = sin0

then from that we can find dy/dx = sin0/(a - cos0)
I know I've got to bring the time into it somehow but I have no idea how. I've thought about using the chain rule but I don't know how to apply that. To be fair I'm not even entirely sure what I'm trying to find, whether it be d0/dt or what.

Any tips you have are helpful, thanks!

You can get a differential equation for ##\theta(t)##. Do you know about the Lagrangian formulation of dynamics? If so, set up the Lagrangian
[tex]L(\theta, \dot{\theta}) = T - V,[/tex]
where T = kinetic energy and V = potential energy:
[tex]T = \frac{1}{2} m v^2, \; V = m g y[/tex]
Then, the equation of motion is
[tex]\frac{d}{dt} \left( \frac{\partial L}{\partial \dot{\theta}}\right) = \frac{\partial L}{\partial \theta}[/tex]
You can get ##y## and ##v^2 = v_x^2 + v_y^2## in terms of ##\theta## and ##\dot{\theta}##, using the equations for ##x,y## in terms of ##\theta##.

You will get a second-order DE for ##\theta##, of the form
[tex]\frac{d^2 \theta}{dt^2} = F\left(\theta, \frac{d \theta}{dt} \right),[/tex]
So, you will need to find out how to deal with second-order DEs numerically.

See. eg., http://en.wikipedia.org/wiki/Lagrangian_mechanics
or http://ice.as.arizona.edu/~dpsaltis/Phys422/chapter6.pdf
for more on Lagrangian dynamics.
 
Last edited by a moderator:
  • Like
Likes   Reactions: RileyF1
At the moment I've gotten Vx, Vy and y in terms of θ and subbed them into L = K-U

and so I've got L is equal to some θ's and dθ/dt's

This may be a stupid question but how do I find dL/dθ and dL/dθ' individually? Like how do I find dL/dθ'? Do I just treat θ as a constant and only take the derivatives of the dθ/dt's?

and then after I've done that, how would I find d/dt(dL/dθ') since it wouldn't have any t's in it?
I haven't come across lagrangian dynamics before so this is a bit confusing.
 
RileyF1 said:
At the moment I've gotten Vx, Vy and y in terms of θ and subbed them into L = K-U

and so I've got L is equal to some θ's and dθ/dt's

This may be a stupid question but how do I find dL/dθ and dL/dθ' individually? Like how do I find dL/dθ'? Do I just treat θ as a constant and only take the derivatives of the dθ/dt's?

and then after I've done that, how would I find d/dt(dL/dθ') since it wouldn't have any t's in it?
I haven't come across lagrangian dynamics before so this is a bit confusing.

The Lagrangian is a function of the two variables ##r## and ##s##, where ##r## means ##\theta## but is easier to type, and ##s## means ##d \theta /dt = dr/dt##. In other words, you just have a function ##L(r,s)## of two variables. The derivatives ##L_r = \partial L / \partial r## and ##L_s = \partial L / \partial s## are just computed in the usual way that you always compute partial derivatives. That gives you ##L_s = G(r,s)##, some function of ##r,s## that you can compute. Now
[tex]\frac{d}{dt} G(r,s) = G_r \frac{dr}{dt} + G_s \frac{ds}{dt}.[/tex]
At this point you can put back ##s = dr/dt## to get the equation of motion
[tex]\frac{d}{dt} G(r,s) = G_r(r,s) \frac{dr}{dt} + G_s(s,t) \frac{d^2 r}{dt^2} = M(r,s),[/tex]
where ##M(r,s)## is the function ##L_s##. I hope that by giving the functions ##L_r, L_s## new names not involving the letter ##L## that you will see more clearly what is going on.

If you are still unsure about this, look at the links provided, or find more articles by a Google search on 'Lagrangian dynamics' (searching on 'Lagrangian mechanics' does not work very well; it gives lots of automobile repair shops).
 
  • Like
Likes   Reactions: RileyF1
I had a go but when solving for dL/dtheta I ended up with some ridiculously long equation, not sure if I did something wrong though. My professor says that the easiest method is to split the cycloid into small straight line segments then calculate what I want for those, not completely sure what he means but I'll have a go at that.

Thanks for all the help.
 
I feel like your professor is saying you can just simulate the physics on the computer. i.e. you don't need to calculate x(t). Instead, maybe the problem is to find difference equations which represent your problem, and get the computer to simulate it. Did your professor ever explicitly say to analytically calculate x(t) ? If not, then I think most likely the problem is to program the computer to simulate the problem, thus giving you x(t) as a graph that you can plot.

edit: In other words, you were asked to model the problem in MATLAB right? So that suggests actually using MATLAB to solve the dynamics of the problem, rather than analytically calculating x(t) and then just plotting it using matlab.
 
Last edited:

Similar threads

  • · Replies 3 ·
Replies
3
Views
2K
  • · Replies 3 ·
Replies
3
Views
2K
Replies
3
Views
2K
Replies
7
Views
2K
  • · Replies 1 ·
Replies
1
Views
2K
  • · Replies 4 ·
Replies
4
Views
2K
Replies
1
Views
3K
Replies
4
Views
2K
  • · Replies 6 ·
Replies
6
Views
3K
  • · Replies 7 ·
Replies
7
Views
2K