Finding electric potential of an infinite line charge at z axis

  • Thread starter Thread starter physics1000
  • Start date Start date
  • Tags Tags
    Electric potential
Click For Summary
SUMMARY

The electric potential of an infinite line charge located along the z-axis can be expressed as ##\Phi \left(x,y\right)=-\frac{\lambda _0}{2\pi \epsilon _0}ln\left(\frac{\sqrt{\left(x-a\right)^2+y^2}}{a}\right)##, where ##\lambda_0## is the linear charge density and ##\epsilon_0## is the permittivity of free space. The potential is defined with respect to the origin, where ##\Phi \left(0,0\right)=0##. The integration should consider the symmetry of the problem, and the z-dependence can be disregarded due to the infinite nature of the line charge. This conclusion is reached by recognizing that the potential is independent of the z-coordinate.

PREREQUISITES
  • Understanding of electrostatics and electric potential
  • Familiarity with the concept of linear charge density (##\lambda_0##)
  • Knowledge of integration techniques in cylindrical coordinates
  • Basic understanding of Gauss's law and its applications
NEXT STEPS
  • Study the derivation of electric potential from continuous charge distributions
  • Learn about the application of Gauss's law in calculating electric fields
  • Explore the concept of Green's functions in electrostatics
  • Investigate the implications of potential differences in electrostatic systems
USEFUL FOR

Students of physics, particularly those studying electromagnetism, electrical engineers, and anyone involved in theoretical physics or electrical engineering applications related to electric fields and potentials.

  • #31
physics1000 said:
Exactly, that is how you should graph it, was not given like that, but that is the point.
Here is another approach. Take your pick. You know (or you can derive) from Gauss's law that the electric field due to an infinite line of charge is $$\mathbf{ E}= \frac{\lambda}{2\pi\epsilon_0 r}\mathbf{\hat r}$$ where ##r## is the radial distance from the wire to the point of interest P.
Can you translate that into Cartesian coordinates and write vector ##\mathbf E(x,y,z)## relative to an origin as shown in the figure in post #24? Note that you will have to be a bit careful with expressing the unit vector ##~\mathbf{\hat r}##. If so, then choose a suitable path from the reference point O (the origin) to point P and do the line integral $$\Phi(x,y,z)=-\int_0^P \mathbf E(x,y,z)\cdot d\mathbf l.$$Note that the field lines are concentric circles perpendicular to the ##z##-axis, therefore there is no ##z##-dependence worry about.
 
Physics news on Phys.org
  • #32
kuruman said:
Here is what you can do. You know (or you can derive) from Gauss's law that the electric field due to an infinite line of charge is $$\mathbf{ E}= \frac{\lambda}{2\pi\epsilon_0 r}\mathbf{\hat r}$$ where ##r## is the radial distance from the wire to the point of interest P.
Can you translate that into Cartesian coordinates and write vector ##\mathbf E(x,y,z)## relative to an origin as shown in the figure in post #24? Note that you will have to be a bit careful with expressing the unit vector ##~\mathbf{\hat r}##. If so, then choose a suitable path from the reference point O (the origin) to point P and do the line integral $$\Phi(x,y,z)=-\int_0^P \mathbf E(x,y,z)\cdot d\mathbf l.$$Note that the field lines are concentric circles perpendicular to the ##z##-axis, therefore there is no ##z##-dependence worry about.
Hi.
I really appreciate the help using Gauss, the problem is, I do not think we solved it using Gauss.
Also from starting with electric field and then go to potential.
I do not need to know the electric field and from there go to potential, I did not know that and should not know.
Especially thinking about the unit vector of ##r##, its a little problematic.
I did already 8 tests, I never used Gauss law there, I used always this technique I wrote at the post ( ##r## and ##r'## ).
Only at Quasistatic process I used Gauss law, because there are almost always good symetry there.
But at such exercises I never did and I really say, I dont know how to do Gauss here.

Thanks anyway also :)
 
  • #33
kuruman said:
Here is another approach. Take your pick. You know (or you can derive) from Gauss's law that the electric field due to an infinite line of charge is $$\mathbf{ E}= \frac{\lambda}{2\pi\epsilon_0 r}\mathbf{\hat r}$$ where ##r## is the radial distance from the wire to the point of interest P.
Can you translate that into Cartesian coordinates and write vector ##\mathbf E(x,y,z)## relative to an origin as shown in the figure in post #24? Note that you will have to be a bit careful with expressing the unit vector ##~\mathbf{\hat r}##. If so, then choose a suitable path from the reference point O (the origin) to point P and do the line integral $$\Phi(x,y,z)=-\int_0^P \mathbf E(x,y,z)\cdot d\mathbf l.$$Note that the field lines are concentric circles perpendicular to the ##z##-axis, therefore there is no ##z##-dependence worry about.
Just to mention that this is important to keep in mind when applying Gauss law to problems like this one.
 
  • Like
Likes   Reactions: physics1000
  • #34
Orodruin said:
Just to mention that this is important to keep in mind when applying Gauss law to problems like this one.
That actually would help me at Quasi-static exercises, bookmarked it for if I will need.
Here sadly it wont, but for Quasi-static it is good.
 
  • #35
physics1000 said:
That actually would help me at Quasi-static exercises, bookmarked it for if I will need.
Here sadly it wont, but for Quasi-static it is good.
I mean, the solution for the field is literally given in the article. All one needs to do to find the potential is to integrate …
 
  • #36
Orodruin said:
I mean, the solution for the field is literally given in the article. All one needs to do to find the potential is to integrate …
yea, but you use Gauss, that is my problem.
There is 100% no way to solve what I want using my way?
Usually at test I will not have the electric field or I will have some harder questions. Which I usually do good, but when it is cartesian, I am having hard time.
 
  • #37
physics1000 said:
There is 100% no way to solve what I want using my way?
I have told you already that there is. You just need to execute it.
Orodruin said:
You need to add a constant (not depending on x, y, of z - possibly depending on x’, y’, and z’) to the point charge potential that you are using.
Orodruin said:
So instead of adding potentials that have been chosen to be zero at infinity, you need to use potentials that are zero at the origin.
Not sure I can be more specific without actually solving the problem …
 
  • #38
Orodruin said:
I have told you already that there is. You just need to execute it.Not sure I can be more specific without actually solving the problem …
Yea, but about the constant thingy. Where do I add it? I could not understand it. You did not say where
I need to say that my potential is the integral + constant? and if so, it still wont help.
I dont know how do I use the ##Phi(0,0)## thing.
I never encountered such a situtation where it is not zero at infinity but at origin.
Sadly I can not understand what you want me to do...
I dont need you to do the solution, just based on my answer, what do I have to add? I really can not understand, what I did is basically like most of what is needed, from what you say, I miss small detail thingy that I can not answer without it.
 
  • #39
physics1000 said:
Yea, but about the constant thingy. Where do I add it? I could not understand it. You did not say where
I need to say that my potential is the integral + constant? and if so, it still wont help.
I dont know how do I use the ##Phi(0,0)## thing.
I never encountered such a situtation where it is not zero at infinity but at origin.
Sadly I can not understand what you want me to do...
I dont need you to do the solution, just based on my answer, what do I have to add? I really can not understand, what I did is basically like most of what is needed, from what you say, I miss small detail thingy that I can not answer without it.
Suppose you have a solution to the integral for the potential, ##\phi(x,y,z)##, which is zero at infinity. For any constant potential, ##V_0##, ##\phi(x,y,z)+V_0## is also a solution, but will be ##V_0## at infinity.
What will it be at ##(0,0,0)##?
What value of ##V_0## will make it zero at ##(0,0,0)##?
 
  • #40
haruspex said:
Suppose you have a solution to the integral for the potential, ##\phi(x,y,z)##, which is zero at infinity. For any constant potential, ##V_0##, ##\phi(x,y,z)+V_0## is also a solution, but will be ##V_0## at infinity.
What will it be at ##(0,0,0)##?
What value of ##V_0## will make it zero at ##(0,0,0)##?
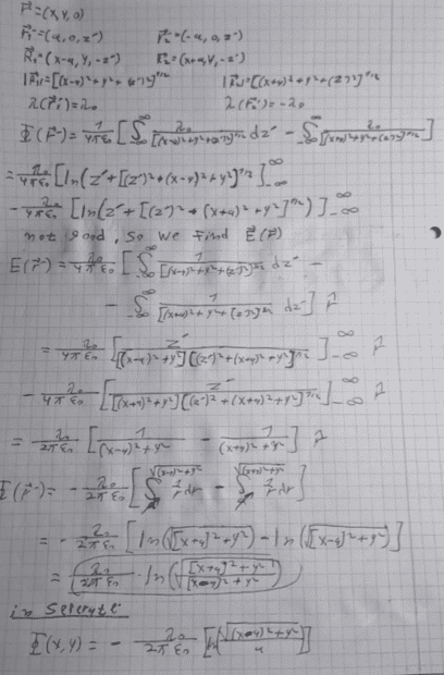
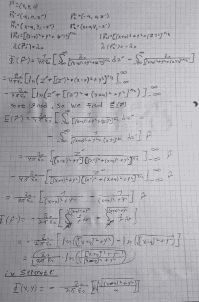
The original exercise ( as you will see in the picture has two infinite line of charge, but don't mind it, one at ##x=a## the other at ##x=-a##, the problem is in the integral ).

Ahh, I seriously do not understand what do you mean by that, nothing...
I tried ( what I managed to understand from your thing )
1702024920124.png

Tried to do ##X=Y=Z=0## and not ##X'=Y'=Z'=0## of course.
In The case of the post ( not the two infinite line charge, cus it does not matter ), I will just receive
##V_0 =# #minus of all the first integral. Or again, I do not understand again...
 
  • #41
physics1000 said:
The original exercise ( as you will see in the picture has two infinite line of charge, but don't mind it, one at ##x=a## the other at ##x=-a##, the problem is in the integral ).

Ahh, I seriously do not understand what do you mean by that, nothing...
I tried ( what I managed to understand from your thing )
View attachment 336885
Tried to do ##X=Y=Z=0## and not ##X'=Y'=Z'=0## of course.
In The case of the post ( not the two infinite line charge, cus it does not matter ), I will just receive
##V_0 =# #minus of all the first integral. Or again, I do not understand again...
You have an integral of the form ##\int_{-\infty}^{\infty}\frac{dz}{(A^2+z^2)^\frac 12}##. I don't understand the next line. Please post your working of the integration.
 
  • #42
physics1000 said:
You did not say where
I did:
Orodruin said:
add a constant (…) to the point charge potential that you are using
(added emphasis)

Your point charge potential is the ##\frac{1}{4\pi\epsilon_0 |r - r’|}## in the integral. This is clearly not zero at r=0.
 
  • #43
haruspex said:
Suppose you have a solution to the integral for the potential, ##\phi(x,y,z)##, which is zero at infinity. For any constant potential, ##V_0##, ##\phi(x,y,z)+V_0## is also a solution, but will be ##V_0## at infinity.
What will it be at ##(0,0,0)##?
What value of ##V_0## will make it zero at ##(0,0,0)##?
Except this does not work here because the potential derived from assuming the potential to be zero at infinity diverges everywhere. The way to solve it is using a different point particle potential in the integral. One that has the correct zero level. Once you do that, the linear combination of any such potentials will have the correct zero level.
 
  • Like
Likes   Reactions: haruspex
  • #44
Alternatively you can separate out the x and y dependence so your potential takes the form ##\phi = C + f(x,y)## where ##C## is a formally infinite constant you can remove. That also works.
 
  • #45
haruspex said:
You have an integral of the form ##\int_{-\infty}^{\infty}\frac{dz}{(A^2+z^2)^\frac 12}##. I don't understand the next line. Please post your working of the integration.
Oh sorry, it is an immediate integral from my formula of the test
##A=\sqrt{\left(x-a\right)^2+y^2}\:\:\:\:A^2=\left(x-a\right)^2+y^2##
##\int \:\frac{1}{A^2+z^2}dz=ln\left(z+\sqrt{A^2+z^2}\right)+C##
Hope it is clear now!!
 
  • #46
Orodruin said:
I did:

(added emphasis)

Your point charge potential is the ##\frac{1}{4\pi\epsilon_0 |r - r’|}## in the integral. This is clearly not zero at r=0.
Ahh, my English really downs me here, but still, I don't understand.
##r-r'## is not 0 if ##r=0##, that you are right.
But still, I really do not understand it :\
I can not understand about that constant ##V_0##, or where do I put that constant \ other constant, where exactly, I know I sound like an idiot already, but I really can not apprehend this.
 
  • #47
Orodruin said:
Alternatively you can separate out the x and y dependence so your potential takes the form ##\phi = C + f(x,y)## where ##C## is a formally infinite constant you can remove. That also works.
Okay, that I 100% do not understand, that I can say for sure.
##\frac{1}{\left(\left(x-a\right)^2+y^2+\left(z'\right)^2\right)^{\frac{1}{2}}}##
Why should I separate the ##X## and ##Y## functions here and how do I do it exactly? it is combined.
 
  • #48
physics1000 said:
Okay, that I 100% do not understand, that I can say for sure.
##\frac{1}{\left(\left(x-a\right)^2+y^2+\left(z'\right)^2\right)^{\frac{1}{2}}}##
Why should I separate the ##X## and ##Y## functions here and how do I do it exactly? it is combined.
That is not the integrated expression…
 
  • #49
physics1000 said:
Ahh, my English really downs me here, but still, I don't understand.
##r-r'## is not 0 if ##r=0##, that you are right.
But still, I really do not understand it :\
I can not understand about that constant ##V_0##, or where do I put that constant \ other constant, where exactly, I know I sound like an idiot already, but I really can not apprehend this.
You add a constant (in x and y) to that expression such that the expression becomes zero at r = 0. This you can do without changing the field as it doesn’t change any derivative wrt x or y.
 
  • #50
Orodruin said:
You add a constant (in x and y) to that expression such that the expression becomes zero at r = 0. This you can do without changing the field as it doesn’t change any derivative wrt x or y.
But it will never be zero, the denominator, it is a absolute value that has ##()^2## on each one.
If you talk about numerator, you have 1 only, it can never be 0, and I can not add from x and y to there, only to the denominator.
Even if I put ##z'=0##, I will still have ##a^2## which is a problem, I can not do a minus.
Only if I demand that ##z'=0## and ##a=0## so It will be true. but it seems weird.
 
  • #51
physics1000 said:
But it will never be zero, the denominator, it is a absolute value that has ##()^2## on each one.
If you talk about numerator, you have 1 only, it can never be 0, and I can not add from x and y to there, only to the denominator.
Even if I put ##z'=0##, I will still have ##a^2## which is a problem, I can not do a minus.
Only if I demand that ##z'=0## and ##a=0## so It will be true. but it seems weird.
Asking for the potential at (x,y) given that it is zero at (0,0) is the same as asking for the potential difference, ##\phi(x,y)-\phi(0,0)##. You can write that as one big integral. Each by itself will diverge, but you can manipulate the combined expression so that the two divergent components cancel.
 
  • Like
Likes   Reactions: Orodruin
  • #52
physics1000 said:
But it will never be zero, the denominator, it is a absolute value that has ##()^2## on each one.
If you talk about numerator, you have 1 only, it can never be 0, and I can not add from x and y to there, only to the denominator.
Even if I put ##z'=0##, I will still have ##a^2## which is a problem, I can not do a minus.
Only if I demand that ##z'=0## and ##a=0## so It will be true. but it seems weird.
What do you mean it will never be zero? Whatever your function ##f(x)## you can create a function with the same derivative that is zero in ##x_0## by creating ##g(x) = f(x) - f(x_0)##
 
  • #53
Orodruin said:
Except this does not work here because the potential derived from assuming the potential to be zero at infinity diverges everywhere.
And that's because this is a 2D problem algebraically and is independent of ##z##. The equipotential surfaces in this case are concentric cylinders with their common axis coincident with the line of charge. Lines parallel to the line of charge are also equipotentials, which means that a calculation for ##\Phi(x,y)## can be done in the ##xy##-plane without loss of generality.

In the ##xy##-plane, point with Cartesian coordinates ##\{x,y\}## lies on an equipotential circle of radius ##r=\sqrt{(x-a)^2+y^2}## centered at ##\{a,0\}##. Likewise, the origin of coordinates lies on an equipotential circle of radius ##r_0=a## also centered at ##\{a,0\}.##
haruspex said:
Asking for the potential at (x,y) given that it is zero at (0,0) is the same as asking for the potential difference, ϕ(x,y)−ϕ(0,0).
Precisely, but why not use the electric field to find said potential difference? If the use of Gauss's law to find the electric field is not an option as stipulated by the OP, then one can always do the integral $$E_r=\frac{\lambda r}{4\pi\epsilon_0}\int_{-\infty}^{\infty }\frac{dz}{(r^2+z^2)^{3/2}}$$ to find the radial electric field and finally integrate to find the potential function, $$\Phi(x,y)=-\int_a^{\sqrt{(x-a)^2+y^2}}E_r~dr.$$ This problem is equivalent to finding the electrostatic potential of a grounded conducting very long cylinder with a line of charge along its axis relative to an origin that is on the cylinder's surface with the x-axis crossing the cylinder's axis.
 
  • Like
Likes   Reactions: MatinSAR
  • #54
kuruman said:
And that's because this is a 2D problem algebraically and is independent of ##z##. The equipotential surfaces in this case are concentric cylinders with their common axis coincident with the line of charge. Lines parallel to the line of charge are also equipotentials, which means that a calculation for ##\Phi(x,y)## can be done in the ##xy##-plane without loss of generality.

In the ##xy##-plane, point with Cartesian coordinates ##\{x,y\}## lies on an equipotential circle of radius ##r=\sqrt{(x-a)^2+y^2}## centered at ##\{a,0\}##. Likewise, the origin of coordinates lies on an equipotential circle of radius ##r_0=a## also centered at ##\{a,0\}.##

Precisely, but why not use the electric field to find said potential difference? If the use of Gauss's law to find the electric field is not an option as stipulated by the OP, then one can always do the integral $$E_r=\frac{\lambda r}{4\pi\epsilon_0}\int_{-\infty}^{\infty }\frac{dz}{(r^2+z^2)^{3/2}}$$ to find the radial electric field and finally integrate to find the potential function, $$\Phi(x,y)=-\int_a^{\sqrt{(x-a)^2+y^2}}E_r~dr.$$ This problem is equivalent to finding the electrostatic potential of a grounded conducting very long cylinder with a line of charge along its axis relative to an origin that is on the cylinder's surface with the x-axis crossing the cylinder's axis.
Ohh, now I see what you say.
I will do the same thing, but with electic field, and then just integrate it. ( because with ##(K)^{3/2}## it is integrable easily )
That I actually accepts.
I went out of my home for a few days, be back tommorow or today.
I will try it.
Huge thanks!!
 
Last edited:
  • #55
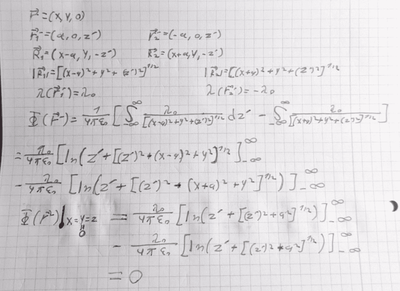
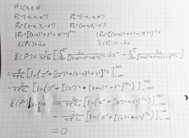
it worked.
Huge thanks :)
1702314373730.png


Now I learned a new trick on my sleeve, how to solve such questions.
 
  • #56
physics1000 said:
it worked.
Huge thanks :)
View attachment 337077

Now I learned a new trick on my sleeve, how to solve such questions.
I can't really see what you have written here, the resolution is too low. I will say that it is highly probable that you are making incorrect statements about the potential approach not being good.
 
  • #57
physics1000 said:
Now I learned a new trick on my sleeve, how to solve such questions.
Aren't the tricks usually up your sleeve? If they are on the sleeve they'll be quite obvious. 😉
 
  • #58
Orodruin said:
I can't really see what you have written here, the resolution is too low. I will say that it is highly probable that you are making incorrect statements about the potential approach not being good.
Oh sorry, I will try to upload in good resolution, I will edit. ( My camera has problem at boundarys, the focus it bad, It is the best I could do )
But anyway, the solution is good.
About potential approach not being good, I had lot of problems there as you saw, it was impossible to me without doing electric field as kuruman said sadly. since I had ##+-infinity## at boundarys.
But anyway, now I know how to do the solution, so if I will see it in the future, it is now easy :)
1702331409804.png


Thanks to all of you, sorry for being "block head" as not wanting to use Gauss and such.
 
  • #59
nasu said:
Aren't the tricks usually up your sleeve? If they are on the sleeve they'll be quite obvious. 😉
LOL
Sadly my English is bad, the sentence I say in my language is hard to translate to English :)
Another thing learned :cool:
 
  • #60
physics1000 said:
Oh sorry, I will try to upload in good resolution, I will edit. ( My camera has problem at boundarys, the focus it bad, It is the best I could do )
But anyway, the solution is good.
About potential approach not being good, I had lot of problems there as you saw, it was impossible to me without doing electric field as kuruman said sadly. since I had ##+-infinity## at boundarys.
But anyway, now I know how to do the solution, so if I will see it in the future, it is now easy :)View attachment 337102

Thanks to all of you, sorry for being "block head" as not wanting to use Gauss and such.
Still impossible to see what is written in text. This is how it looks:
1702332826825.png

For the future, please learn to use the LaTeX features of the forum.

physics1000 said:
About potential approach not being good, I had lot of problems there as you saw, it was impossible to me without doing electric field as kuruman said sadly. since I had +−infinity at boundarys.
As I told you several times, this was never a problem. Your problem was not shifting the potential to keep the zero level at the correct place. The point-particle potential you should be using was
$$
G(\vec r, \vec r') = \frac{1}{4\pi \epsilon_0} \left( \frac{1}{|\vec r - \vec r'|} - \frac{1}{|\vec r'|}\right)
$$
This has the same derivatives with respect to the unprimed coordinates as the typical point-particle potential (the first term) but is constructed to have the zero-level at the origin ##\vec r = 0##. The integral will converge without issues.

Alternatively you can just take the integral from ##-Z## to ##Z##, subtract the potential at the origin after, and then let ##Z \to \infty##.
 

Similar threads

Replies
2
Views
1K
  • · Replies 17 ·
Replies
17
Views
2K
  • · Replies 18 ·
Replies
18
Views
1K
Replies
6
Views
3K
  • · Replies 4 ·
Replies
4
Views
1K
Replies
11
Views
1K
  • · Replies 11 ·
Replies
11
Views
1K
  • · Replies 7 ·
Replies
7
Views
1K
Replies
8
Views
1K
  • · Replies 4 ·
Replies
4
Views
2K