Finding Equivalent Resistance, Current, and Voltage across a resistor

Click For Summary

Homework Help Overview

The discussion revolves around calculating equivalent resistance, current, and voltage in a circuit involving four resistors. The problem includes concepts from circuit analysis, specifically focusing on series and parallel resistor configurations, as well as applying Kirchhoff's laws.

Discussion Character

  • Mixed

Approaches and Questions Raised

  • Participants discuss the correctness of initial answers regarding equivalent resistance and current values. There are attempts to apply Kirchhoff's Voltage Law to derive equations for current and voltage. Questions arise about the application of voltage and current divider rules in the context of the circuit.

Discussion Status

Some participants have provided guidance on using Kirchhoff's laws to analyze the circuit, while others have pointed out potential errors in the equations derived. There is an ongoing exploration of different interpretations of the circuit setup and calculations, particularly regarding the current through specific resistors.

Contextual Notes

Participants are working under the constraints of homework rules, which may limit the information shared. There is a noted confusion regarding the identification of currents in the circuit and the application of circuit laws.

rugerts
Messages
153
Reaction score
11
Homework Statement
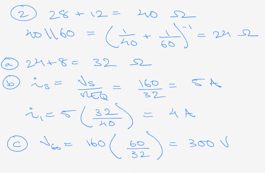
A) What's equivalent resistance of all four resistors?
B) What is current value of i1?
C) What is voltage across 60 ohm resistor?
Relevant Equations
Parallel connections add like (1/Req) = (1/R1+1/R2)
Series add normally R1+R2+ ...
Current divider: I = Isource*(Req/Ri)
Voltage divider: V = Vsource*(Ri/Req)
1569385726645.png

1569385736859.png
 
Physics news on Phys.org
rugerts said:
Homework Statement: A) What's equivalent resistance of all four resistors?
B) What is current value of i1?
C) What is voltage across 60 ohm resistor?
Homework Equations: Parallel connections add like (1/Req) = (1/R1+1/R2)
Series add normally R1+R2+ ...
Current divider: I = Isource*(Req/Ri)
Voltage divider: V = Vsource*(Ri/Req)

View attachment 250165
View attachment 250166
Answer c is wrong.
 
Hi Rugerts.

Answer A is correct. But answers for B and C are both incorrect.
(Answer for B is asking for current I1)

I1 + I2 = Is
where I1 and I2 are both unknown, and Is is the 5 amps you correctly calculated.

The method I learned was then to write an equation for the voltage rise and drops as you "walk" around a closed loop from the battery's positive terminal to its negative terminal. Are you familiar with that method?
 
CPW said:
Hi Rugerts.

Answer A is correct. But answers for B and C are both incorrect.
(Answer for B is asking for current I1)

I1 + I2 = Is
where I1 and I2 are both unknown, and Is is the 5 amps you correctly calculated.

The method I learned was then to write an equation for the voltage rise and drops as you "walk" around a closed loop from the battery's positive terminal to its negative terminal. Are you familiar with that method?
Are you saying to use Kirchhoff's Voltage Law to find i1? In doing so, I get: -160+ 40i1 + 8i1 = 0 -> i1 = 3.33 A. Could I use a voltage divider to find the voltage across the 60 ohm resistor or no? FYI the loop was the outermost one.
Doing this for the 60 ohm resistor and choosing a loop as the lower left hand triangle, I get a voltage across 60 ohm resistor to be 120 V.
 
Hi again.

Ok. The loop rule I mentioned is what you have obviously been taught (Kirchhoff's Voltage law). I see your equation:
-160 + 40i1 + 8i1 = 0.

But you made an easy mistake in that equation.
The current through the 8 ohm resistor is not i1, but rather it is iS = 5 A (the same as the current through the battery). Make sense?

With that equation fixed, you should be able to correctly calculate i1 to be 3 A.

I agree with your calculation of the voltage across the 60 ohm resistor: 120V.

One thing that helps me with circuit problems when a resistor is shown diagonally, is to re-draw it without the diagonal.
 

Similar threads

  • · Replies 31 ·
2
Replies
31
Views
5K
Replies
2
Views
1K
Replies
9
Views
1K
  • · Replies 3 ·
Replies
3
Views
2K
  • · Replies 3 ·
Replies
3
Views
1K
Replies
3
Views
2K
Replies
5
Views
2K
Replies
9
Views
2K
  • · Replies 7 ·
Replies
7
Views
2K
  • · Replies 3 ·
Replies
3
Views
1K