Finding homeomorphism between topological spaces

Click For Summary

Homework Help Overview

The discussion revolves around demonstrating that two specific topological spaces are homeomorphic. The original poster outlines their attempts to establish a homeomorphism through various continuous functions and their inverses, while also seeking clarification on the properties of the function \( f:\mathbb{R}\rightarrow\mathbb{R} \) given by \( f(x)=\arctan{x} \).

Discussion Character

  • Exploratory, Conceptual clarification, Mathematical reasoning, Assumption checking

Approaches and Questions Raised

  • The original poster describes a multi-step approach to find a homeomorphism, detailing several functions and their inverses. Some participants suggest the need for more clarity on the mappings and continuity claims. There is also a discussion about the properties of the \( \arctan \) function, particularly regarding its bijectivity and whether it is closed.

Discussion Status

The discussion is ongoing, with participants providing feedback on the original poster's functions and suggesting alternative methods for establishing homeomorphism. There is recognition of the complexity involved in defining the mappings and ensuring continuity. The question regarding the \( \arctan \) function has prompted further exploration of its properties in relation to open and closed mappings.

Contextual Notes

Participants note the importance of clearly defining the spaces involved in the mappings to support continuity claims. There is also a consideration of the implications of different topological spaces on the properties of functions, particularly in relation to closed and open mappings.

nightingale123
Messages
25
Reaction score
2

Homework Statement


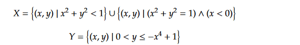
show that the two topological spaces are homeomorphic.
71197c5d6992276d973a4fd5ade7fd30.png


Homework Equations


Two spaces are homeomorphic if there exists a continuous bijection with a continuous inverse between them

The Attempt at a Solution


I have tried proving that these two spaces are homeomorphic, however I have no idea whether or not I have done it correctly.
I would really appreciate it if somebody could check my work and give me some tips / comment what I could have done better or different
So I began by drawing both spaces

WP_20171118_23_24_56_Rich.jpg


Then I tried to make a "plan" on how I how transform ##x\rightarrow y##
1. rotate ##X## by ##\frac{\pi}{2}##
2. flatten the bottom part of the circle
3. shrink ##X## so that the top of ##X## touches ##Y##
4. finally shrink ##X## to ##y##

1.
##f(r,\theta)=(r,\theta-\frac{\pi}{2})## this function is continuous and its inverse ##g(r,\theta)=(r,\theta+\frac{\pi}{2})## is also continuous

2.
##f(x,y)=(x,y+\sqrt{1-x^2})## is continuous and its inverse is continuous ##g(x,y)=(x,y-\sqrt{1-x^2})##

3.
##f(x,y)=(x,y/2)## is continuous and its inverse is continuous ##g(x,y)=(x,2y)##

4.
##f(x,y)=(x,\frac{y(-x^4+1)}{\sqrt{1-x^2}})## is continuous and its inverse is continuous ##g(x,y)=(x,\frac{y\sqrt{1-x^2}}{(-x^4+1)})##

as you can probably see I did in 4 steps what my professor would do in 1 maybe 2 functions at most I just find it really hard if I would have tried looking for the function directly.

Also could somebody tell me if this statement is true
the function ##f:\mathbb{R}\rightarrow\mathbb{R}## given with ##f(x)=\arctan{x}## is closed.
Thanks in advance
 

Attachments

  • 71197c5d6992276d973a4fd5ade7fd30.png
    71197c5d6992276d973a4fd5ade7fd30.png
    4.1 KB · Views: 839
  • WP_20171118_23_24_56_Rich.jpg
    WP_20171118_23_24_56_Rich.jpg
    23.3 KB · Views: 669
Physics news on Phys.org
To help other readers:
$$X= \{\,(x,y)\,\vert \,x^2+y^2 < 1\,\} \cup \{\,(x,y)\,\vert \,(x^2+y^2 = 1)\,\wedge \,(x < 0)\,\}\, , \,Y=\{\,(x,y)\,\vert \,0<y\leq -x^4+ 1\,\}$$
I haven't checked your answer, because you didn't mention the spaces you map, which is important for your continuity claims. Also your coordinate change should be a bit more detailed, to guarantee bijectivity which might get lost. Of course one "sees" that both spaces are homeomorphic, but to actually name the bijections can sometimes be a bit complicated. I would stretch ##Y## first and rotate it at last, but the deformation is the crucial point and a bit difficult as you can't just stretch the open boundary to an open half disc. So probably a) stretch ##Y## to a half disc on the left, b) make ##Y## a disc, and c) rotate the thing is the natural way to solve it.

To your last question: Is ##\operatorname{arc tan}## bijective on the branch you define it and is it homeomorphic to the real line?
 
  • Like
Likes   Reactions: nightingale123
Sorry my mistake I probably should have written the spaces I am mapping to.1.
This function should map from ##X\rightarrow B=\{(x,y)\in\mathbb{R^2}|x^2+y^2 < 1\,\} \cup \{\,(x,y)\,\vert \,(x^2+y^2 = 1)\,\wedge \,(y> 0)\,\}##

##f(r,\theta)=(r,\theta-\frac{\pi}{2})## this function is continuous and its inverse ##g(r,\theta)=(r,\theta+\frac{\pi}{2})## is also continuous

2.
this function maps from ##B\rightarrow C=\{(x,y)\in\mathbb{R^2}|0<y\leq 2\sqrt{1-x^2}\}##
##f(x,y)=(x,y+\sqrt{1-x^2})## is continuous and its inverse is continuous ##g(x,y)=(x,y-\sqrt{1-x^2})##

3.
this function maps from ##C\rightarrow D=\{(x,y)\in\mathbb{R^2}|0<y\leq\sqrt{1-x^2}\}##
##f(x,y)=(x,y/2)## is continuous and its inverse is continuous ##g(x,y)=(x,2y)##

4.
this functions maps from ##D\rightarrow Y##
##f(x,y)=(x,\frac{y(-x^4+1)}{\sqrt{1-x^2}})## is continuous and its inverse is continuous ##g(x,y)=(x,\frac{y\sqrt{1-x^2}}{(-x^4+1)})##

For the ##\arctan## I believe the answer is no. it is injective however it is not a surjective function from ##f:\mathbb{R}\rightarrow\mathbb{R}## and if we take ##\mathbb{R}## which is a closed set it is mapped to ##(\frac{-\pi}{2},\frac{\pi}{2})## which is an open set in ##\mathbb{R}##
 
This looks correct, although formally you would have to show that the codomains are identical to the stated spaces, but this would simply be - as a little remark, why ##x=1## isn't in ##D## and ##f_4## is thus continuous - a nice service for your readers. You could also compose all functions and their inverses to get the one homeomorphism you were looking for. If nothing else it'll be a funny monstrous formula.

Of course ##\operatorname{arc tan}## isn't surjective on ##\mathbb{R}##, but this isn't the crucial point here. Usually we look at ##f\, : \,X \twoheadrightarrow f(X)## to investigate a function, because the trivial case ##f(X) \subsetneq Y## doesn't say much about ##f##. So basically, you are right: not surjective. But what happens if you consider ##\operatorname{arc tan}\, : \,\mathbb{R} \rightarrow (-\dfrac{\pi}{2},\dfrac{\pi}{2})## instead? Is this interval as topological space homeomorph to ##\mathbb{R}\,##? The graph of ##\operatorname{arc tan}## and the real line are topologically the same thing, so why shouldn't it be a closed function?
 
  • Like
Likes   Reactions: nightingale123
You are correct. Those two spaces ##\mathbb{R}## and ##(-\frac{\pi}{2},\frac{\pi}{2})## are indeed homeomorphic and ##\tan^{-1}## is a continuous bijection. ##\tan^{-1}## is also closed and open since it gives a homeomorphism between ##\mathbb{R}## and ##(-\frac{\pi}{2},\frac{\pi}{2})##.
However there is still one thing that is bothering me. So whenever I am given a function ##f:\mathbb{R}\rightarrow\mathbb{R}## and asked to check whether it is open or closed I should only look at its codomain? It was only bothering me because I started thinking that since ##\mathbb{R}## is a closed set that its map ##(-\frac{\pi}{2},\frac{\pi}{2})## should also be a closed set under##\mathbb{R}##
 
Last edited:
Alternately could I have just checked if random sequence that converges to x its f- values converge to ##f(x)## which must be in the codomain and if that be the case from all convergent sequences the map would be closed?
 
nightingale123 said:
You are correct. Those two spaces ##\mathbb{R}## and ##(-\frac{\pi}{2},\frac{\pi}{2})## are indeed homeomorphic and ##\tan^{-1}## is a continuous bijection. ##\tan^{-1}## is also closed and open since it gives a homeomorphism between ##\mathbb{B}## and ##(-\frac{\pi}{2},\frac{\pi}{2})##.
However there is still one thing that is bothering me. So whenever I am given a function ##f:\mathbb{R}\rightarrow\mathbb{R}## and asked to check whether it is open or closed I should only look at its codomain?
No, because you were right. Your question means basically: Is a function ##f\, : \,X \rightarrow Y## open (closed), if it is open (closed) restricted to its codomain? From left to right this is true, but not the other way around. Say ##X = \mathbb{R}^{>0}\; , \;Y=\mathbb{R}## and ##f(x)=\dfrac{x}{\,\vert \,x\,\vert \,}\,.## Then ##f(X)=(0,1]## is trivially closed in the codomain ##f(X)## but not in ##Y##. And the same is true for ##\tan^{-1}##. The image of the closed interval ##(-\infty,0]## is ##(-\dfrac{\pi}{2},0]## which is closed in the codomain ##(-\dfrac{\pi}{2},\dfrac{\pi}{2})## and not closed in ##\mathbb{R}##.
It was only bothering me because I started thinking that since ##\mathbb{R}## is a closed set that its map ##(-\frac{\pi}{2},\frac{\pi}{2})## should also be a closed set under##\mathbb{R}##
Correct, this is of course not closed in ##\mathbb{R}##.

A good example how the topological space considered makes a huge difference: ##\mathbb{R} \cong \tan^{-1}(\mathbb{R}) = (-\frac{\pi}{2},\frac{\pi}{2})## and ##\mathbb{R} \ncong_{\operatorname{arc tan}} \mathbb{R}##, so closed on the induced topology of the codomain but not closed on the entire space.
... I shouldn't answer topological question, there are far too many pitfalls and one has to be extremely cautious as intuition isn't of much value.
 
  • Like
Likes   Reactions: nightingale123
I though I started understanding this but then I saw this post in the Wikipedia site which gave an example of a closed map
d202f9b8d9f459cc97246e4d1a703ef8.png

So I guess we should look on the induced topology afterall
 

Attachments

  • d202f9b8d9f459cc97246e4d1a703ef8.png
    d202f9b8d9f459cc97246e4d1a703ef8.png
    1.7 KB · Views: 858
Last edited:
Just to be sure I'm going to ask one of the professors tomorrow just to see what they believe to be the correct answer
 
  • #10
nightingale123 said:
I though I started understanding this but then I saw this post in the Wikipedia site which gave an example of a closed map View attachment 215272
So I guess we should look on the induced topology after
##f\, : \,\mathbb{R} \longrightarrow \mathbb{R}## with ##f\, : \, x \longmapsto x^2## is continuous and closed intervals map onto closed intervals, but ##f((-1,1))=[0,1)## which is not open.
 
  • Like
Likes   Reactions: nightingale123
  • #11
I know that however could you explain why it is closed? since ##f(\mathbb{R})=[0,\infty)##and isn't this not closed in ##\mathbb{R}## ?
 
  • #12
Note to self ##[0,\infty)## is indeed closed
 
  • Like
Likes   Reactions: fresh_42

Similar threads

Replies
5
Views
2K
  • · Replies 5 ·
Replies
5
Views
2K
  • · Replies 5 ·
Replies
5
Views
2K
Replies
4
Views
3K
  • · Replies 5 ·
Replies
5
Views
1K
  • · Replies 40 ·
2
Replies
40
Views
5K
Replies
23
Views
4K
  • · Replies 11 ·
Replies
11
Views
4K
  • · Replies 2 ·
Replies
2
Views
2K
  • · Replies 12 ·
Replies
12
Views
3K