Finding the force acting on a point charge with a disk around it

Click For Summary

Discussion Overview

The discussion revolves around calculating the force acting on a point charge with a disk surrounding it. Participants explore the relevant equations and clarify the parameters involved, including the geometry of the disk and the calculations leading to the force result.

Discussion Character

  • Technical explanation
  • Mathematical reasoning
  • Debate/contested

Main Points Raised

  • One participant presents a force calculation resulting in F = -99.4 az μN and requests assistance in identifying any mistakes.
  • Another participant seeks clarification on the meaning of R in the equation for electric field E.
  • A subsequent reply confirms that R refers to the radius.
  • Concerns are raised about the clarity of the disk's position, questioning whether the center is on the z-axis or displaced, and the exact dimensions of the disk.
  • A participant outlines a detailed calculation process for the electric field E, including integrals and assumptions about symmetry, leading to a derived force value of approximately 99.4 μN.

Areas of Agreement / Disagreement

Participants express uncertainty regarding the disk's position and dimensions, and there is no consensus on the correctness of the initial force calculation or the clarity of the problem setup.

Contextual Notes

The discussion highlights potential ambiguities in the problem statement, including the definitions of parameters and the assumptions made in the calculations. The mathematical steps and their dependencies are not fully resolved.

falyusuf
Messages
35
Reaction score
3
Homework Statement
Attached below.
Relevant Equations
Given below.
Question:
20089301620236335838842342050563270.png

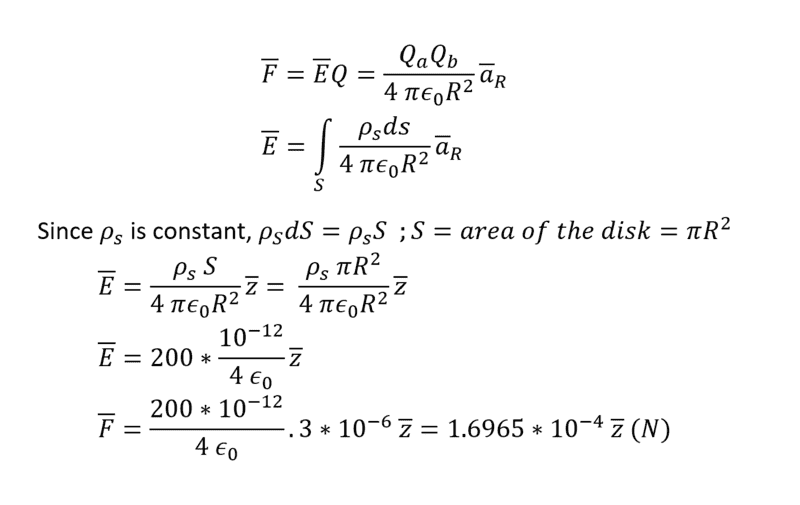
Here's my attempt with the relevant equations:
1637708550496.png

The correct answer is F = -99.4 az μN. Could someone please figure out my mistake?
 
Physics news on Phys.org
Let's consider the second equation (E=...). What does R stand for?
 
Gordianus said:
Let's consider the second equation (E=...). What does R stand for?
Radius.
 
Hmmm...Try again
 
The position of the disk in space is not clear. What does it mean "a disk located 0<ρ<1 " that is, the center of the disk is in the z axis or is displaced by 1 m and the radius of the circle is 1 m or only 1/2 m. It is not clear at all.
 
I think I got how was calculation done. The circle of radius 1m with the center located on z axe. If we consider an infinite small surface dS=r*dα*dr [as in attached sketch] then:
dE=ρs/(4/PI()/εo/a^3*dS*ā
E=ρs/(4/PI()/εo*ʃdS*ā/sqrt(r^2+d^2)/(r^2+d^2)
E=ρs/(4/PI()/εo*ʃdS*ā/(r^2+d^2)^3/2
E=ρs/(4/PI()/εo*ʃʃdr*r*dα*ā(r^2+d^2)^3/2 [one integral for dr and another for α]
The component radial ȓ is cancel out, because of all direction of component radial ȓ around z
E=2*pi()*ρs/4/PI()/εo*ʃdr*r*ž/(r^2+d^2)^3/2 |ž|=d
E=ρs/2/εo*d*ʃdr*r/(r^2+d^2)^3/2
Let’s put x=r^2+d^2 then dx=2*r*dr or r*dr=dx/2 ; r=0 x=1 r=1 x=2
ʃdx/2/x^3/2=1/2/(-3/2+1)*x^(1-3/2)=-1/x^0.5|x=1 to x=2|
-1/sqrt(2)+1/sqrt(1)= 0.292893
E=ρs/2/εo*d*0.292893=3.313269 V/m
F=3.313269*30=99.39808 µN
 

Attachments

  • Electrostatics with charged circle.jpg
    Electrostatics with charged circle.jpg
    29.5 KB · Views: 173

Similar threads

  • · Replies 1 ·
Replies
1
Views
3K
  • · Replies 7 ·
Replies
7
Views
2K
  • · Replies 27 ·
Replies
27
Views
4K
  • · Replies 3 ·
Replies
3
Views
2K
  • · Replies 12 ·
Replies
12
Views
2K
  • · Replies 2 ·
Replies
2
Views
5K
  • · Replies 4 ·
Replies
4
Views
2K
  • · Replies 10 ·
Replies
10
Views
1K
  • · Replies 1 ·
Replies
1
Views
2K
  • · Replies 6 ·
Replies
6
Views
3K