Finding the Magnetic Field in a System with Intersecting Current-Carrying Pieces

Click For Summary

Homework Help Overview

The discussion revolves around calculating the magnetic field in a system with intersecting current-carrying pieces. The problem involves a current density of J=0.5 A/mm² and two cylindrical sections with specified dimensions, where the intersection does not carry current. Participants are tasked with finding the magnetic field vectors at points P1 and P2 using the Biot-Savart law and considering the effects of superposition.

Discussion Character

  • Exploratory, Assumption checking, Mathematical reasoning

Approaches and Questions Raised

  • Participants discuss using superposition to calculate the magnetic field and consider the implications of the intersection area where no current flows. There are questions about the direction of the magnetic field vectors at points P1 and P2, particularly in relation to the right-hand rule and the net current flow being zero.

Discussion Status

The discussion is ongoing, with participants exploring different interpretations of the problem. Some suggest using Ampere's law in conjunction with superposition, while others are questioning the assumptions made about the contributions of the magnetic fields from each cylinder. There is a recognition that the intersection area complicates the calculation, and participants are attempting to clarify their understanding of the setup.

Contextual Notes

Participants note that the current flows in opposite directions in the two shaded regions, leading to a net current of zero in the intersection area. There is uncertainty about how to account for the intersecting area in the calculations, and some participants express confusion regarding the integration limits and the application of the Biot-Savart law.

cdummie
Messages
147
Reaction score
5

Homework Statement


In the system shown in the picture, there's a current whose constant density is J=0,5A/mm^2. System contains two pieces as shown in the picture, in the area where two pieces intersect, there's no current. If R=1mm and a=1,25mm (a - distance between centers of the circles), find the vector B in at points P1 and P2.
Screenshot_1.png


Homework Equations


Biot-Savart law

The Attempt at a Solution


I think i should solve this using superposition, or even better, find the B for the first part and multiply it by two in both cases (P1 and P2) since i should get the same value for both parts of the system. Now, i could think of the first part as lot of lines with current flowing through them, then i could sum up (integrate) all lines in that area and find the value B. The problem is, how to find area?
 
Physics news on Phys.org
cdummie said:

Homework Statement


In the system shown in the picture, there's a current whose constant density is J=0,5A/mm^2. System contains two pieces as shown in the picture, in the area where two pieces intersect, there's no current. If R=1mm and a=1,25mm (a - distance between centers of the circles), find the vector B in at points P1 and P2.
View attachment 86570

Homework Equations


Biot-Savart law

The Attempt at a Solution


I think i should solve this using superposition, or even better, find the B for the first part and multiply it by two in both cases (P1 and P2) since i should get the same value for both parts of the system. Now, i could think of the first part as lot of lines with current flowing through them, then i could sum up (integrate) all lines in that area and find the value B. The problem is, how to find area?
In looking at you image enlarged, it appears that the current flows in opposite directions in the two shaded regions.
upload_2015-7-30_15-24-39.png


In the region on the right J is into the page. On the left,J is out of the page.

Therefore, the net current flow is zero.
 
SammyS said:
In looking at you image enlarged, it appears that the current flows in opposite directions in the two shaded regions.
View attachment 86583

In the region on the right J is into the page. On the left,J is out of the page.

Therefore, the net current flow is zero.

But, isn't direction of vector B defined by right hand rule, so it would have vertical direction for both left and right part in the point P1? Does it matters if net current is zero if those two parts are separated, like there in picture? Please explain, i don't think i understood it.
 
cdummie said:
But, isn't direction of vector B defined by right hand rule, so it would have vertical direction for both left and right part in the point P1? Does it matters if net current is zero if those two parts are separated, like there in picture? Please explain, i don't think i understood it.
In post #2, I was only referring to the current, not the B field.

You are correct about the B vector at point P1 being vertical for the left part and for the right part, being taking separately, so you can just double the result for either to get the overall resulting B.

Your description of your solution in Post #1 was somewhat vague - lacking detail.
cdummie said:
...

Homework Equations


Biot-Savart law

The Attempt at a Solution


I think i should solve this using superposition, or even better, find the B for the first part and multiply it by two in both cases (P1 and P2) since i should get the same value for both parts of the system. Now, i could think of the first part as lot of lines with current flowing through them, then i could sum up (integrate) all lines in that area and find the value B. The problem is, how to find area?
Do you need to use the Biot-Savart law? If not use Ampere's law along with superposition to make the solution fairly easy.

Consider this as two overlapping circles (actually circular cylinders). Each has current density J, the left with J out of the page, the right with J into the page.
 
SammyS said:
In post #2, I was only referring to the current, not the B field.

You are correct about the B vector at point P1 being vertical for the left part and for the right part, being taking separately, so you can just double the result for either to get the overall resulting B.

Your description of your solution in Post #1 was somewhat vague - lacking detail.

Do you need to use the Biot-Savart law? If not use Ampere's law along with superposition to make the solution fairly easy.

Consider this as two overlapping circles (actually circular cylinders). Each has current density J, the left with J out of the page, the right with J into the page.

So basically, if i find B for both cylinders, final result will come up as if there's no current in part where they intersect because in that part i will have two currents of the same intensity but different direction, so summed up, it would be zero.
 
cdummie said:
So basically, if i find B for both cylinders, final result will come up as if there's no current in part where they intersect because in that part i will have two currents of the same intensity but different direction, so summed up, it would be zero.
Yes.

That does allow you to treat each cylinder independently, making B relatively easy to calculate for each.
 
  • Like
Likes   Reactions: cdummie
SammyS said:
Yes.

That does allow you to treat each cylinder independently, making B relatively easy to calculate for each.
Is there any difference while calculating B for two cylinders, i mean if center of one of the cylinders is 0 then center of another should be a, is that correct?
 
cdummie said:
Is there any difference while calculating B for two cylinders, i mean if center of one of the cylinders is 0 then center of another should be a, is that correct?
Each point, P1 & P2, is equidistant from the axis of each cylinder, so for each point, the magnitude of B is the same for each cylinder. At P2, the direction of B from each differs.
 
  • Like
Likes   Reactions: cdummie
SammyS said:
Each point, P1 & P2, is equidistant from the axis of each cylinder, so for each point, the magnitude of B is the same for each cylinder. At P2, the direction of B from each differs.
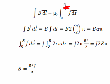
Using Ampere's law, for the P1 i got ∫Bdl0J*dS

for the left part: ∫Bdl=B2rπ (r is the distance from center to the P1 -it's a/2)

for the right part: μ0J*dS= μ0*J∫2rπdr (limits of integration are 0 to r) =μ0*J*r2*π*2

so B=μ0*J*r2/2

Doing this for the second part i got the same solution just opposite direction (minus sign), which means B is zero, which is wrong, but i don't see any mistakes. What is incorrect here?
 
  • #10
cdummie said:
Using Ampere's law, for the P1 i got ∫Bdl0J*dS

for the left part: ∫Bdl=B2rπ (r is the distance from center to the P1 -it's a/2)

for the right part: μ0J*dS= μ0*J∫2rπdr (limits of integration are 0 to r) =μ0*J*r2*π*2

so B=μ0*J*r2/2

Doing this for the second part i got the same solution just opposite direction (minus sign), which means B is zero, which is wrong, but i don't see any mistakes. What is incorrect here?
For P1:
You had indicated previously that the contribution from the left conductor is in the same direction as that from the right conductor. Have you abandoned this?

Are you going to plug-in a/2 for r or not. sometimes you do sometimes not.

What are the integration limits for ##\displaystyle \ \int \vec J \cdot \vec{dS} \ ## what is r? In fact, since ##\ \vec J \ ## is constant, why use an integral at all?

You have made algebra errors in solving for B.​
.
 
  • #11
Screenshot_1.png


This is how i did it for the P1, but i still don't understand how to find B for the second part, i know it should be in the same direction and it should have the same intensity, but how can i know that the part where they intersect is not included here, i mean if i go and calculate B for the second part i don't see how part where they intersect is not included, and if radius on the right side of the equation is a/2 again (and i think it is, because that is the distance from center to point whose B i am looking for), but if distance from center is a/2 that doesn't mean that the two parts are placed exactly like in the picture, i mean, there could be more (or less) intersected area and still these limits of integration and radius would remain the same.
 
  • #12
cdummie said:
View attachment 86957

This is how i did it for the P1, but i still don't understand how to find B for the second part, i know it should be in the same direction and it should have the same intensity, but how can i know that the part where they intersect is not included here, i mean if i go and calculate B for the second part i don't see how part where they intersect is not included, and if radius on the right side of the equation is a/2 again (and i think it is, because that is the distance from center to point whose B i am looking for), but if distance from center is a/2 that doesn't mean that the two parts are placed exactly like in the picture, i mean, there could be more (or less) intersected area and still these limits of integration and radius would remain the same.
For Ampere' Law. how are the path for the line integral and the region for the surface integral related ?
 
  • #13
SammyS said:
For Ampere' Law. how are the path for the line integral and the region for the surface integral related ?

In this case, left side is circumference of the circle and area of the same circle is the right side of the Ampere's law, correct me if i am wrong.
 
  • #14
cdummie said:
In this case, left side (of the equation) is circumference of the circle and area of the same circle is the right side of the Ampere's law, correct me if i am wrong.
Yes. So that's a/2, not R.
 
  • #15
SammyS said:
Yes. So that's a/2, not R.

Oh, ok, so B=a*J but again, if distance from center is a/2 that doesn't mean that the two parts are placed exactly like in the picture, i mean, there could be more (or less) intersected area and still these limits of integration and radius would remain the same.
 
  • #16
cdummie said:
Oh, ok, so B=a*J but again, if distance from center is a/2 that doesn't mean that the two parts are placed exactly like in the picture, i mean, there could be more (or less) intersected area and still these limits of integration and radius would remain the same.
Check your algebra in finding B.

For the rest of what you say: It's not clear to me what you mean.
 
  • #17
SammyS said:
Check your algebra in finding B.

For the rest of what you say: It's not clear to me what you mean.

I took the upper limit to be a instead of a/2.

I mean, while calculating B i integrated like i have a full circle, but there's intersection with no current, if i do the same thing for the second part, how can i be sure that intersected part is not included if i calculated both times as if i have a full circle, i mean, will intersected area remain the same if two cylinders are placed, for example, like this:
Screenshot_1.png
 
  • #18
cdummie said:
I took the upper limit to be a instead of a/2.

I mean, while calculating B i integrated like i have a full circle, but there's intersection with no current, if i do the same thing for the second part, how can i be sure that intersected part is not included if i calculated both times as if i have a full circle, i mean, will intersected area remain the same if two cylinders are placed, for example, like this:
View attachment 86999
That will change the direction of the B vector, but that's all.

Don't forget, you're using super-position to get the overall answer.
 
  • Like
Likes   Reactions: cdummie
  • #19
SammyS said:
That will change the direction of the B vector, but that's all.

Don't forget, you're using super-position to get the overall answer.

Thanks a lot.
 
  • #20
cdummie said:
Thanks a lot.
How are you progressing with finding B at P2 ?
 
  • #21
SammyS said:
How are you progressing with finding B at P2 ?

Well, i have B=μ0JR/2 for the one part, but i am not sure, i mean should i express R using a? Because this way, this could be like i am finding B for two cylinders separately, they could be far away one from another, am i right?
 
  • #22
cdummie said:
Well, i have B=μ0JR/2 for the one part, but i am not sure, i mean should i express R using a? Because this way, this could be like i am finding B for two cylinders separately, they could be far away one from another, am i right?
The B vectors from the two conductors have different direction.

Verify that only the vertical components remain.

This will bring ' a ' back into the mix
 
Last edited:
  • #23
SammyS said:
The B vectors from the two conductors have different direction.

Verify that only the vertical components remain.

This will bring ' a ' back into the mix

Well i know, since they (horizontal components) have the same intensity but opposite directions their sum will be zero, but how that brings back a?
 
  • #24
cdummie said:
Well i know, since they (horizontal components) have the same intensity but opposite directions their sum will be zero, but how that brings back a?
What do you gt for the vertical component?
 
  • #25
SammyS said:
What do you gt for the vertical component?

Well, since i got B=μ0JR/2 and if θ is angle between vertical component of vector B and vector B then Bvertical=Bcosθ , but i don't see how this can be related with a.
 
  • #26
cdummie said:
Well, since i got B=μ0JR/2 and if θ is angle between vertical component of vector B and vector B then Bvertical=Bcosθ , but i don't see how this can be related with a.
Can you express cos(θ) in terms of R and a ?
 
  • #27
SammyS said:
Can you express cos(θ) in terms of R and a ?

Well, if θ is angle between Bvertical and B then angle between Bhorizontal and R (R to the point P1) is also θ since the sides of those two angles are orthogonal so cosθ can also be a/2R so Bvertical=B*cosθ=(μ0JR/2)*(a/2R) so Bvertical0J*a/4
and if i multiply this by i have the solution for P2 since i should get same solution for the second part so B0J*a/2. Correct me if i am wrong.
 
  • #28
cdummie said:
Well, if θ is angle between Bvertical and B then angle between Bhorizontal and R (R to the point P1) is also θ since the sides of those two angles are orthogonal so cosθ can also be a/2R so Bvertical=B*cosθ=(μ0JR/2)*(a/2R) so Bvertical0J*a/4
and if i multiply this by i have the solution for P2 since i should get same solution for the second part so B0J*a/2. Correct me if i am wrong.
You should use parentheses adequately. (a/2)/(R) is what you apparently intended.
a/2R = (aR)/(2) ≠ (a/2)/(R)​
(a/2)/(R) can also be written as a/(2R) .

More importantly, that's not the correct expression for cosθ. That's sinθ, not cosθ .

.
 
  • #29
SammyS said:
You should use parentheses adequately. (a/2)/(R) is what you apparently intended.
a/2R = (aR)/(2) ≠ (a/2)/(R)​
(a/2)/(R) can also be written as a/(2R) .

More importantly, that's not the correct expression for cosθ. That's sinθ, not cosθ .

.

The way i see it, i don't understand how that is sinθ, which means i maybe made a mistake and i don't see where, so here's the picture (as for the parentheses part, i see, thanks that's what i meant):

Screenshot_1.png
 
  • #30
cdummie said:
The way i see it, i don't understand how that is sinθ, which means i maybe made a mistake and i don't see where, so here's the picture (as for the parentheses part, i see, thanks that's what i meant):

View attachment 87124
B is tangent to the circle, thus B is perpendicular to the radius line.
 

Similar threads

  • · Replies 5 ·
Replies
5
Views
1K
Replies
3
Views
1K
  • · Replies 2 ·
Replies
2
Views
4K
  • · Replies 4 ·
Replies
4
Views
2K
Replies
1
Views
3K
Replies
1
Views
1K
  • · Replies 14 ·
Replies
14
Views
3K
  • · Replies 25 ·
Replies
25
Views
2K
  • · Replies 17 ·
Replies
17
Views
3K
  • · Replies 1 ·
Replies
1
Views
2K