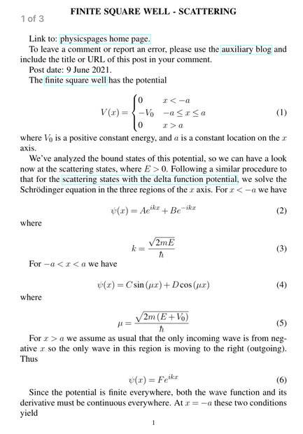
Finite potential well transmission coefficient

Click For Summary

Discussion Overview

The discussion revolves around the transmission coefficient in the context of a finite potential well, exploring the implications of particle energy levels (E) on reflection and transmission probabilities. Participants examine the behavior of particles with energies both above and below the potential well's depth, considering quantum mechanical phenomena such as tunneling and reflection.

Discussion Character

  • Exploratory
  • Technical explanation
  • Debate/contested
  • Mathematical reasoning

Main Points Raised

  • Some participants express confusion about the meaning of the transmission coefficient and its implications for scattering states with E>0, questioning whether particles can be reflected.
  • It is noted that when the sine term in the transmission coefficient formula is zero, T=1, indicating no reflection, but this raises questions about the behavior of particles with E>0.
  • Some participants clarify that even with E>0, there is a non-zero chance of reflection due to quantum mechanical effects.
  • Discussion includes the distinction between potential wells and barriers, with participants noting that a potential well can still reflect particles with E>0.
  • There is mention of bound states, with one participant stating that a particle with E<0 is trapped in the well, while others discuss the implications of exponentially decaying wave functions outside the well.
  • One participant explores the rearrangement of an equation related to transmission, questioning if a specific energy condition allows for 100% transmission.
  • Clarifications are made regarding the applicability of certain equations to bound states versus scattering states, with some asserting that E>0 states will always have a non-zero probability of transmission.

Areas of Agreement / Disagreement

Participants generally agree that quantum mechanics allows for reflection even when E>0, but there is no consensus on the specifics of how the transmission coefficient applies across different energy states. Multiple competing views remain regarding the conditions for transmission and reflection.

Contextual Notes

There are unresolved aspects regarding the mathematical steps and definitions of terms used in the discussion, particularly concerning the conditions under which certain equations apply to bound versus scattering states.

lys04
Messages
144
Reaction score
5
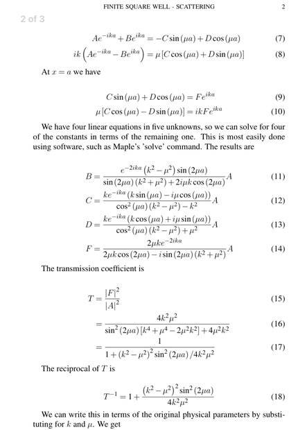
In the last page of this image, the formula for the transmission coefficient, i'm not sure exactly what it means.
The page says there is no reflection when the sine term is 0 cuz T=1), but for scattering states E>0 anyways? So won't it always pass through? Or is there a chance for a particle with E>0 to not pass through the barrier?
 

Attachments

  • IMG_0264.jpeg
    IMG_0264.jpeg
    38.9 KB · Views: 116
  • IMG_0265.jpeg
    IMG_0265.jpeg
    31.1 KB · Views: 73
  • IMG_0266.jpeg
    IMG_0266.jpeg
    43.9 KB · Views: 117
Physics news on Phys.org
lys04 said:
In the last page of this image, the formula for the transmission coefficient, i'm not sure exactly what it means.
The page says there is no reflection when the sine term is 0 cuz T=1), but for scattering states E>0 anyways? So won't it always pass through? Or is there a chance for a particle with E>0 to not pass through the barrier?
Attachment is WAY too small to read.
 
renormalize said:
Attachment is WAY too small to read.
I have put bigger images in, sorry
 
lys04 said:
but for scattering states E>0 anyways? So won't it always pass through? Or is there a chance for a particle with E>0 to not pass through the barrier?
Look at that expression for ##T^{-1}##: If the sine term is non-zero then ##T^{-1}\gt 1##, meaning that ##T\lt 1##, so the particle will not always pass through the barrier under those conditions.
 
lys04 said:
The page says there is no reflection when the sine term is 0 cuz T=1), but for scattering states E>0 anyways? So won't it always pass through? Or is there a chance for a particle with E>0 to not pass through the barrier?
This is a potential well, not a potential barrier.

But yes, there is a non-zero chance that the particle will be reflected even though E>0. This is purely a quantum mechanical phenomenon.
 
DrClaude said:
This is a potential well, not a potential barrier.
A potential barrier is like this image right? Whereas a potential well is the opposite.

1716510205954.png


Ok so a particle with E>0 may be reflected in this case that makes sense, but how does transmission coefficient work for a well? Like a particle with E<0 might pass through the well or smth?
 
lys04 said:
Ok so a particle with E>0 may be reflected in this case that makes sense, but how does transmission coefficient work for a well? Like a particle with E<0 might pass through the well or smth?
A particle with ##E\lt 0## is bound, trapped in the well and cannot escape to infinity in either direction.. However, the solutions to Schrödinger's equation do have exponentially decaying tails outside of the well (if the well is not of infinite depth) so there is some non-zero probability that a position measurement will find the particle outside of the well.
@DrClaude already mentioned that the non-zero probability of reflection when ##E\gt 0## is a uniquely quantum mechanical phenomenon; this non-zero probability of finding a bound particle somewhere outside the well is another such.

Even more entertaining is quantum tunnelling: consider two wells side by side. Classically there is no way that a particle with ##E\lt 0## can ever move from one well to the other, but in fact they can.
 
Last edited:
Nugatory said:
A particle with E<0 is bound, trapped in the well and cannot escape to infinity in either direction.. However, these solutions do have exponentially decaying tails outside of the well (if the well is not of infinite depth) so there is some non-zero probability that a position measurement will find the particle outside of the well.
Thats cool!
If I rearrange the equation 2a*sqrt(2m(E+V_0))/hbar = npi (This is when there is 100% transmission), I get V_0+E=n^2hbar^2pi^2/8ma^2, does that mean when E=n^2hbar^2pi^2/8ma^2-V_0 then the particle can escape the well 100%?
 
  • #10
lys04 said:
Thats cool!
If I rearrange the equation 2a*sqrt(2m(E+V_0))/hbar = npi (This is when there is 100% transmission), I get V_0+E=n^2hbar^2pi^2/8ma^2, does that mean when E=n^2hbar^2pi^2/8ma^2-V_0 then the particle can escape the well 100%?
There are no bound states when E>0.
 
  • Like
Likes   Reactions: Nugatory
  • #11
DrClaude said:
There are no bound states when E>0.
does that mean 2a*sqrt(2m(E+V_0))/hbar = npi only apply for bound states? And E>0 scattering states will always "pass" the well?
 
  • #12
lys04 said:
does that mean 2a*sqrt(2m(E+V_0))/hbar = npi only apply for bound states? And E>0 scattering states will always "pass" the well?
No, it applies to scattering states. I think this is pretty clear in the text you posted.

When E>0, you will always get transmission, i.e., there is always a non-zero probability that the particle will go from one side of the well to the other. What is surprising from a classical point of view is that there can be a non-zero probability of the particle being reflected by the well, which would never happen classically. What is surprising from a quantum point of view is that for certain scattering energies, there is no reflection (as if the potential was not there).
 
  • Like
Likes   Reactions: haushofer

Similar threads

  • · Replies 3 ·
Replies
3
Views
1K
  • · Replies 8 ·
Replies
8
Views
3K
  • · Replies 1 ·
Replies
1
Views
1K
  • · Replies 1 ·
Replies
1
Views
1K
  • · Replies 5 ·
Replies
5
Views
2K
  • · Replies 1 ·
Replies
1
Views
2K
  • · Replies 1 ·
Replies
1
Views
2K
  • · Replies 7 ·
Replies
7
Views
3K
  • · Replies 4 ·
Replies
4
Views
2K
  • · Replies 1 ·
Replies
1
Views
1K