Fluid Dynamics: Pressure Field - Vector or Scalar? | Homework Question

Click For Summary

Discussion Overview

The discussion revolves around the nature of pressure in fluid dynamics, specifically whether a pressure field is a vector or scalar quantity. Participants explore the implications of using Bernoulli's equation versus Euler's equations in relation to pressure changes, velocity components, and the mathematical representation of these concepts.

Discussion Character

  • Debate/contested
  • Technical explanation
  • Conceptual clarification
  • Homework-related

Main Points Raised

  • Some participants assert that pressure is a scalar, while the pressure gradient is a vector.
  • One participant suggests that pressure is neither strictly a scalar nor a vector, describing it as the magnitude of an isotropic component of a stress tensor, which implies some directionality.
  • There is a proposal that for applying Bernoulli's equation, only the magnitude of the velocity vector is necessary, which leads to a scalar result.
  • Another viewpoint states that Euler's equations are expressed in terms of the scalar magnitude of pressure, suggesting that they do not require vector components for pressure.
  • Some participants express a need for more background information, asking for the actual problem and definitions of variables to clarify the discussion.
  • A later reply clarifies that the equations presented in the discussion are indeed the components of the pressure gradient, which adds to the complexity of the discussion.

Areas of Agreement / Disagreement

Participants generally agree that pressure is a scalar and that both Bernoulli's and Euler's methods can be used, but there is disagreement regarding the interpretation of Euler's equations and their relation to vector components.

Contextual Notes

Some participants request further clarification on the definitions and applications of the equations discussed, indicating that assumptions about the context and variables may not be fully established.

shreddinglicks
Messages
225
Reaction score
7

Homework Statement


This is not so much a homework problem but a question I have on the subject while studying. I have a terrible teacher who is contradicting my textbook constantly and I really want to learn this.

Is a pressure field vector or scalar? If given the velocity components, is it appropriate to get the magnitude and insert it into the Bernoulli eq to solve for the change in pressure? Which would give me a scalar answer. Or is the correct method to use Euler's eq to obtain the components of pressure changes? Which would be a vector. Or are both these methods ok?

Homework Equations

The Attempt at a Solution

 
Physics news on Phys.org
Pressure is a scalar; pressure gradient is a vector.
Beyond that, I am not clear on what methods you are proposing. How about you post the corresponding algebra?
 
haruspex said:
Pressure is a scalar; pressure gradient is a vector.
Beyond that, I am not clear on what methods you are proposing. How about you post the corresponding algebra?
 

Attachments

  • CCI03032017.jpg
    CCI03032017.jpg
    31.7 KB · Views: 430
  • CCI03032017_0001.jpg
    CCI03032017_0001.jpg
    17.9 KB · Views: 454
I'll need more background.
State the actual problem.
Define your variables.
Identify where you are applying standard equations.
 
haruspex said:
I'll need more background.
State the actual problem.
Define your variables.
Identify where you are applying standard equations.
upload_2017-3-3_0-41-25.png

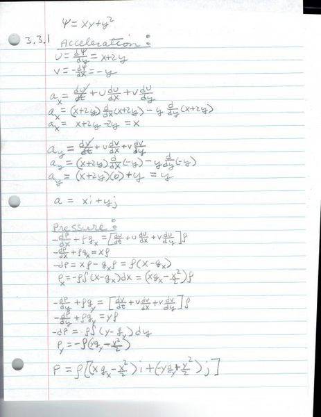
u and v are the x and y components of velocity.

The 1st picture is applying Euler's eq. The 2nd picture is the Bernoulli eq.
 
this is Euler's eq

upload_2017-3-3_0-43-50.png

Bernoulli eq
upload_2017-3-3_0-44-20.png
 
shreddinglicks said:

Homework Statement


This is not so much a homework problem but a question I have on the subject while studying. I have a terrible teacher who is contradicting my textbook constantly and I really want to learn this.

Is a pressure field vector or scalar?
Actually, it is neither. Pressure is the magnitude of the isotropic component of a second order tensor, we call the stress tensor. Since it is the magnitude of that component, we can regard it as a scalar. However, because of its tensorial character, it is accompanied by a certain type of directionality: for any arbitrarily oriented surface within a fluid (or at solid interface of a fluid), the pressure always acts perpendicular to the surface.

If given the velocity components, is it appropriate to get the magnitude and insert it into the Bernoulli eq to solve for the change in pressure?
Yes. You don't need the velocity components. All you need is the magnitude of the velocity vector for Bernoulli.
Which would give me a scalar answer.
Yes.
Or is the correct method to use Euler's eq to obtain the components of pressure changes? Which would be a vector.
No. Euler's eqns. are expressed in terms of the scalar magnitude of the pressure.
Or are both these methods ok?
Both methods are OK. But, Bernoulli is easier if you don't need the components of the velocity or the force components on solid boundaries.
 
Chestermiller said:
Actually, it is neither. Pressure is the magnitude of the isotropic component of a second order tensor, we call the stress tensor. Since it is the magnitude of that component, we can regard it as a scalar. However, because of its tensorial character, it is accompanied by a certain type of directionality: for any arbitrarily oriented surface within a fluid (or at solid interface of a fluid), the pressure always acts perpendicular to the surface.Yes. You don't need the velocity components. All you need is the magnitude of the velocity vector for Bernoulli.

Yes.

No. Euler's eqns. are expressed in terms of the scalar magnitude of the pressure.

Both methods are OK. But, Bernoulli is easier if you don't need the components of the velocity or the force components on solid boundaries.
Thanks! That was very helpful. One last question though. You say Euler's equations are expressed in terms of the scalar magnitude of pressure. My textbook says the Euler's equations I posted in post #6 are the three component equations. Isn't that the vector components in x,y,z directions?
 
shreddinglicks said:
Thanks! That was very helpful. One last question though. You say Euler's equations are expressed in terms of the scalar magnitude of pressure. My textbook says the Euler's equations I posted in post #6 are the three component equations. Isn't that the vector components in x,y,z directions?
As haruspex said, those are the components of the pressure gradient.
 
  • #10
Chestermiller said:
As haruspex said, those are the components of the pressure gradient.
Thanks again! I finally understand. Time for me to study some more.
 

Similar threads

Replies
0
Views
3K
Replies
1
Views
4K
  • · Replies 20 ·
Replies
20
Views
4K
  • · Replies 5 ·
Replies
5
Views
2K
  • · Replies 5 ·
Replies
5
Views
3K
  • · Replies 1 ·
Replies
1
Views
2K
  • · Replies 45 ·
2
Replies
45
Views
8K
  • · Replies 9 ·
Replies
9
Views
4K
  • · Replies 6 ·
Replies
6
Views
3K
  • · Replies 13 ·
Replies
13
Views
4K