Fugacity coefficient of an ideal solution

  • Context: Graduate 
  • Thread starter Thread starter nickelous
  • Start date Start date
  • Tags Tags
    Coefficient
Click For Summary
SUMMARY

The discussion focuses on the calculation of the fugacity coefficient for species in an ideal liquid solution, specifically species A and B. It clarifies that the fugacity of species A is determined by its mole fraction (xA) and its equilibrium vapor pressure (P°A) at the solution's temperature. The Poynting correction factor is essential for adjusting the fugacity due to the total pressure being higher than the equilibrium vapor pressure. This aligns with Raoult's Law, which states that the vapor pressure of a component in a mixture is proportional to its mole fraction.

PREREQUISITES
  • Understanding of fugacity coefficients in thermodynamics
  • Knowledge of Raoult's Law and its applications
  • Familiarity with vapor pressure concepts
  • Basic principles of ideal solutions and liquid mixtures
NEXT STEPS
  • Study the Poynting correction factor and its implications in fugacity calculations
  • Learn about Raoult's Law and its limitations in non-ideal solutions
  • Explore the relationship between vapor pressure and mole fraction in liquid mixtures
  • Investigate the thermodynamic properties of ideal solutions in chemical engineering
USEFUL FOR

Chemical engineers, thermodynamics students, and researchers focusing on phase equilibria and solution chemistry will benefit from this discussion.

nickelous
Messages
1
Reaction score
0
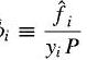
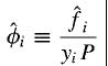
Hi all. I have some confusion regarding the fugacity coefficient of a species in an ideal solution so hoping someone could clear it up for me. According to my textbook, for fugacity coefficient of a species i in a solution:

upload_2014-11-14_2-46-27.png


So if we were talking about an ideal liquid mixture of let's say species A and B, then the denominator yi should be replaced by xi as per stated by the textbook. So if i were to calculate the fugacity coefficient of species A, my question is what is the physical significance of xAP? is it the vapour pressure of the vapour of species A above the liquid components? Why is it calculated in such a way (seems like the same way as how partial pressure of gas mixture is calculated). From what i know, the calculation of vapour pressure of a species in ideal mixture should be xiPo where Po is the vapour pressures of i if it were to exist as pure liquid
 

Attachments

  • upload_2014-11-14_2-45-44.png
    upload_2014-11-14_2-45-44.png
    917 bytes · Views: 675
Science news on Phys.org
The fugacity of A in an ideal liquid solution is equal to the fugacity of pure liquid A at the same temperature and pressure as the solution times the mole fraction of A in the liquid. As a first approximation to the fugacity of the pure A in the liquid, you use its equilibirum vapor pressure at the solution temperature. This is what would usually go into Raolt's law. But then you need to correct the fugacity because the pressure P of the liquid is higher than the equilibrium vapor pressure of pure A. So you need to consider the change in free energy between the equilibrium vapor pressure and the total pressure. This is where the Poynting correction factor comes in.

Chet
 

Similar threads

  • · Replies 109 ·
4
Replies
109
Views
10K
  • · Replies 4 ·
Replies
4
Views
2K
  • · Replies 22 ·
Replies
22
Views
7K
  • · Replies 1 ·
Replies
1
Views
2K
  • · Replies 2 ·
Replies
2
Views
2K
  • · Replies 1 ·
Replies
1
Views
2K
  • · Replies 6 ·
Replies
6
Views
3K
  • · Replies 3 ·
Replies
3
Views
2K
  • · Replies 5 ·
Replies
5
Views
3K
  • · Replies 2 ·
Replies
2
Views
2K