What is the relationship between gas expansion and work done in a cylinder?

  • Thread starter Thread starter Lamoid
  • Start date Start date
  • Tags Tags
    Cylinder Gas
Click For Summary

Homework Help Overview

The discussion revolves around the relationship between gas expansion and the work done in a cylinder, specifically focusing on the mathematical representation of work in terms of pressure and volume as a gas expands within a cylinder.

Discussion Character

  • Exploratory, Mathematical reasoning, Problem interpretation

Approaches and Questions Raised

  • Participants explore the definition of work and its mathematical formulation, discussing the integral of force over distance. There are attempts to relate pressure, volume, and the geometry of the cylinder to the work done by the gas.

Discussion Status

Participants are actively engaging with the problem, offering suggestions for substitutions and clarifications on the integration process. There is a focus on ensuring the correct limits of integration are applied when changing variables from distance to volume.

Contextual Notes

Some participants express uncertainty about the correct substitutions and the implications of changing variables in the integral, indicating a need for further clarification on these points.

Lamoid
Messages
44
Reaction score
0

Homework Statement


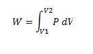
When gas expands in a cylinder with radius r, the pressure at any given time is a function of the volume: P = P (V). The force exerted by the gas on the piston is the product of the pressure and the area: F = π(r^2)P. Show that the work done by the gas when the volume expands from Volume V1 to Volume V2 is




Homework Equations


Equation1.jpg



The Attempt at a Solution



I was having a problem doing this question so I just sort of trudged ahead to see if I could get something and I ended up using substitution with u = n(r^2)x and du = nr^2 and then adjusted the limits of integration which were x+a and x. I am fairly certain this is wrong though and would appreciate help.
 
Physics news on Phys.org
What is the usual definition of work?
 
Integral of Force times distance
 
Last edited:
Yes.

Can you make substitutions and rearrange terms to get that integral in terms of P and V?
 
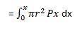
eqation2.jpg


Ok so that's the integral. So I replace (pi)(r^2)x with V ?
 
Last edited:
Um, wait a moment.

If a force F moves an object over a distance dx, then the work done in that small distance is F*dx.

For extended distances, we would integrate F * dx

Try working with that expression ... you were on the right track otherwise.
 
Hmm, so I am confused. This is my best guess.

f * dx = W

πr^2P * dx = W

PV = W

P*dv = W'

Then you integrate it using the change in volume as the limits of integration?
 
Try this:

[tex]W = \int F dx[/tex]

and do the same substitution F = P * pi * r^2
 
Okay, when I do that I end up, obviously, W = integral P * pi * r^2 * dx. I know I have to get V's in here, but I am unsure if I substitute pi * r^2 * dx with a V or a dv since I am talking about the change in x.
 
  • #10
Lamoid said:
Okay, when I do that I end up, obviously, W = integral P * pi * r^2 * dx. I know I have to get V's in here, but I am unsure if I substitute pi * r^2 * dx with a V or a dv since I am talking about the change in x.

V = [itex]\pi r^2 x[/itex] where we take the origin to be wherever the piston starts. What's dV?
 
  • #11
So dv is pi*r^2*dx. Now, must I do anything to make the limits of intergration V1 to V2?
 
  • #12
This is a change-of-variable as taught in integral calculus.

With the substitution V = pi r^2 x, the limits simply change accordingly so that:
x1 becomes V1, where V1 = pi r^2 x1
and similarly for x2 and V2.

In other words,

[tex] \int^{x2}_{x1} ... \ dx[/tex]

becomes


[tex] \int^{\pi r^2 x2}_{\pi r^2 x1} ... \ dV[/tex]

or just

[tex] \int^{V2}_{V1} ... \ dV[/tex]
 
Last edited:

Similar threads

  • · Replies 11 ·
Replies
11
Views
4K
  • · Replies 8 ·
Replies
8
Views
4K
  • · Replies 60 ·
3
Replies
60
Views
11K
  • · Replies 7 ·
Replies
7
Views
2K
  • · Replies 5 ·
Replies
5
Views
5K
Replies
8
Views
2K
  • · Replies 8 ·
Replies
8
Views
3K
  • · Replies 67 ·
3
Replies
67
Views
4K
  • · Replies 2 ·
Replies
2
Views
2K
  • · Replies 4 ·
Replies
4
Views
1K