Having trouble calculating reaction forces for this truss.

Click For Summary

Discussion Overview

The discussion revolves around calculating reaction forces for a truss structure, with participants addressing the conditions of static determinacy and the equations of statics applicable to the problem. The scope includes homework-related calculations and technical reasoning regarding structural analysis.

Discussion Character

  • Homework-related
  • Technical explanation
  • Debate/contested

Main Points Raised

  • Some participants assert that the truss is statically determinate and should be solvable using the equations of static equilibrium.
  • Others challenge this assertion, questioning the validity of calculating four reactions with only two equations of statics.
  • One participant claims to have four equations available, including the sum of forces in the y-direction and the sum of moments about the supports.
  • Another participant emphasizes the need for a single moment equation about one reference point, suggesting that multiple moment equations cannot be used interchangeably.
  • Participants discuss the implications of static determinacy and indeterminacy, with references to structural behavior under load.

Areas of Agreement / Disagreement

There is disagreement among participants regarding the static determinacy of the truss and the appropriate application of the equations of statics. No consensus has been reached on the correct approach to calculating the reaction forces.

Contextual Notes

Participants reference the number of joints, members, and reactions in relation to the equations of static equilibrium, indicating potential misunderstandings or miscommunications about the conditions for static determinacy.

Comfy
Messages
12
Reaction score
0

Homework Statement


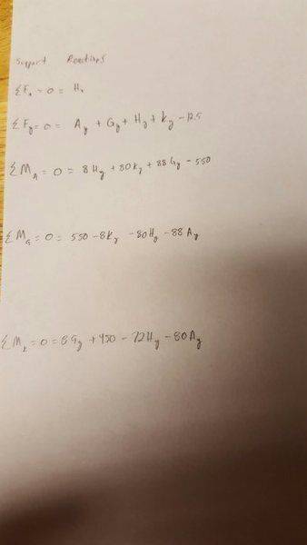
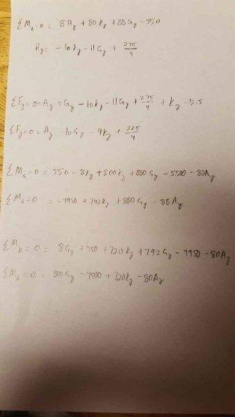
Calculate reaction forces for truss. Truss is attached in picture.

Homework Equations



ΣFx=o
ΣFy=0
ΣM about reaction point=0

The Attempt at a Solution


attached in picture
 

Attachments

  • 1462768412577-223762192.jpg
    1462768412577-223762192.jpg
    10.8 KB · Views: 575
  • 1462768369827508814578.jpg
    1462768369827508814578.jpg
    17.5 KB · Views: 539
  • 1462768436719370329048.jpg
    1462768436719370329048.jpg
    31.8 KB · Views: 586
Physics news on Phys.org
Comfy said:

Homework Statement


Calculate reaction forces for truss. Truss is attached in picture.

Homework Equations



ΣFx=o
ΣFy=0
ΣM about reaction point=0

The Attempt at a Solution


attached in picture
Unfortunately, the attached images are almost entirely illegible. :frown:

If you want some help, either write out your calculations or post better images. :wink:
 
SteamKing said:
Unfortunately, the attached images are almost entirely illegible. :frown:

If you want some help, either write out your calculations or post better images. :wink:
This truss is statically determinate now, and should be solvable, right? That is why I don't understand why I am having trouble solving for the support reactions.
 

Attachments

  • 20160509_001153.jpeg
    20160509_001153.jpeg
    16.8 KB · Views: 552
  • 20160509_001201.jpeg
    20160509_001201.jpeg
    9.5 KB · Views: 555
  • 20160509_001214.jpeg
    20160509_001214.jpeg
    21 KB · Views: 566
  • 20160509_001352.jpeg
    20160509_001352.jpeg
    11.8 KB · Views: 545
Comfy said:
This truss is statically determinate now, and should be solvable, right? That is why I don't understand why I am having trouble solving for the support reactions.

What makes you think this truss is statically determinate? You're still trying to calculate four reactions using only two equations of statics.
 
SteamKing said:
What makes you think this truss is statically determinate? You're still trying to calculate four reactions using only two equations of statics.
I
SteamKing said:
What makes you think this
SteamKing said:
What makes you think this truss is statically determinate? You're still trying to calculate four reactions using only two equations of statics.
I have more than 2 equations, I have sum of forces in y and sum of moments about any of the supports. It is statically determinate because 2 (11 joints)=17 members+5 reactions. What do you mean by 2 equations of statics?
truss is statically determinate? You're still trying to calculate four reactions using only two equations of statics.
I have 4 equations Sum of forces in y direction and the
 
Comfy said:
I

I have 4 equations Sum of forces in y direction and the
Your last post came out garbled. Can you repeat?
 
SteamKing said:
Your last post came out garbled. Can you repeat?
I have more than 2 equations, I have sum of forces in y and sum of moments about any of the supports. It is statically determinate because 2 (11 joints)=17 members+5 reactions. What do you mean by 2 equations of statics?
 
Comfy said:
I have more than 2 equations, I have sum of forces in y and sum of moments about any of the supports. It is statically determinate because 2 (11 joints)=17 members+5 reactions. What do you mean by 2 equations of statics?
You can write only one equation involving the sum of the forces and one equation summing the moments about one convenient reference point.

You cannot write, for example, one moment equation where you sum moments about point A and another equation where you sum moments about point H.

This beam is statically determinate:


simple-beam-dist-load.png


This beam is statically indeterminate:


upload_2016-5-9_8-26-53.png


Both beams are loaded in a similar fashion, except the latter beam requires an extra equation in addition to the equations of static equilibrium in order to solve for the reactions at the supports. In the case of the latter beam, we must know how the beam deflects under load, and we cannot calculate that unless we know some additional structural details beyond the spacing of the supports.
 

Similar threads

  • · Replies 2 ·
Replies
2
Views
3K
  • · Replies 2 ·
Replies
2
Views
2K
  • · Replies 7 ·
Replies
7
Views
4K
  • · Replies 2 ·
Replies
2
Views
886
  • · Replies 2 ·
Replies
2
Views
3K
  • · Replies 1 ·
Replies
1
Views
2K
Replies
1
Views
2K
  • · Replies 5 ·
Replies
5
Views
4K
  • · Replies 1 ·
Replies
1
Views
2K
  • · Replies 5 ·
Replies
5
Views
3K