Heat Engine: Maximizing Work Output

Click For Summary

Homework Help Overview

The discussion revolves around maximizing work output in a heat engine, specifically analyzing a Carnot cycle operating between a tank of water and a river. Participants explore the relationship between temperature, efficiency, and work done by the engine as heat is transferred from the tank to the river.

Discussion Character

  • Exploratory, Conceptual clarification, Mathematical reasoning, Assumption checking

Approaches and Questions Raised

  • Participants discuss the efficiency of the Carnot cycle and its dependence on temperature. Questions arise regarding the final temperature of the tank water, entropy changes, and the heat flow involved in the process. There is also exploration of the equations governing entropy changes in the system.

Discussion Status

The discussion is active, with participants questioning assumptions about temperature and entropy. Some guidance has been offered regarding the equations to use for entropy changes, and there is an ongoing exploration of how to calculate maximum work output based on varying temperatures.

Contextual Notes

Participants note the importance of heat capacity and the correct formulation of equations for entropy changes. There is a mention of the need to consider the heat lost by the tank water and the implications of operating under reversible conditions.

so_gr_lo
Messages
69
Reaction score
10
Homework Statement
Heat engine operates between a tank of 1x10^3 m^3 of water and a river at constant temperature of 10°C . If the temperature of the tank is initially 100°C what is the maximum work the heat engine can perform?

Not sure if my attempt is correct -am I supposed to be considering entropy ?
Relevant Equations
dQ = mcdT
Q1/Q2 = T1/T2
W = Q1 - Q2
26043CF3-8D11-4688-92E3-A2CC3C9BE332.jpeg
 
Physics news on Phys.org
I would consider a Carnot cycle operating between the tank and the river and calculate the work ##dW## performed by the engine when heat is moved from tank to river. I would take into account that the efficiency of the engine depends on the temperature of the water in the tank and is continuously changing.
 
Suppose we regard this combination of a finite reservoir (the water in the tank), the heat engine, and an infinite reservoir (the river) as an adiabatic system. The work done will be maximum if this combined system is operated reversibly. That would mean that no entropy would be generated and the overall entropy change for this overall adiabatic combination would be zero.

What is the final temperature of the water in the tank? What is its entropy change and how much heat has flowed out of the tank?
 
Last edited:
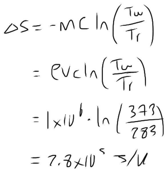
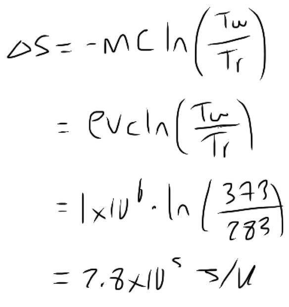
The final temperature would be 10°C as it thermalises with the river

would this be the entropy change of the water in the tank ?
F2EAA359-DE43-4557-B866-374CF6A24DE0.jpeg
 
so_gr_lo said:
The final temperature would be 10°C as it thermalises with the river

would this be the entropy change of the water in the tank ?
View attachment 300689
You left out the heat capacity of the water and you lost the minus sign.

Your original relevant equation Q1/T1=Q2/T2 was incorrect for this situation. The correct equation should be $$\Delta S_{tank\ water}+\Delta S_{river\ water}=0$$What equation would you write for the entropy change of the river water (in terms of the heat removed by the river water and in terms of its temperature)? Based on this and the above equation, how much heat is removed by the river water?
 
50218C7F-FB4A-4227-BBE1-341E5BF86D68.jpeg
 
so_gr_lo said:
Yes, if ##T_{tank\ water}## is the initial value of the tank water temperature. How much heat does the tank water lose to the engine? What is the heat lost by the tank water to the engine minus the heat rejected by the engine to the river water?
 
06429988-4BD2-42ED-B296-63D5D1463414.jpeg
 
  • Like
Likes   Reactions: Chestermiller
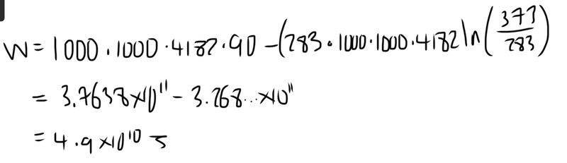
So what value do you get for the maximum work?
 
  • #10
F42AA8BC-5C6F-4389-91A0-0470C5B326B0.jpeg

seems kind of high
 
  • #11
so_gr_lo said:
View attachment 301151
seems kind of high
It's the same number I got through a different method that I outlined in post #2. Here is what I did. Maximum work is achieved when the heat engine has maximum efficiency which means operating a Carnot cycle between the variable tank temperature ##T## and the constant river temperature ##T_R##. When heat ##dQ## is transferred from tank to river, the work done by the Carnot engine is $$dW=\eta~dQ=\eta~ m~c~dT=m~c\left(1-\dfrac{T_R}{T}\right)dT.$$ Then, $$W=m~c\int_{T_0}^{T_R}\left(1-\dfrac{T_R}{T}\right)dT=m~c\left[ (T_0-T_R)+T_R\ln\left(\frac{T_R}{T_0}\right) \right].$$
 

Similar threads

Replies
1
Views
1K
  • · Replies 10 ·
Replies
10
Views
1K
  • · Replies 2 ·
Replies
2
Views
3K
  • · Replies 1 ·
Replies
1
Views
2K
  • · Replies 30 ·
2
Replies
30
Views
3K
  • · Replies 2 ·
Replies
2
Views
1K
Replies
17
Views
4K
Replies
6
Views
3K
  • · Replies 0 ·
Replies
0
Views
1K
  • · Replies 2 ·
Replies
2
Views
1K