Help finding the Electric field at the center of charged arc

Click For Summary
SUMMARY

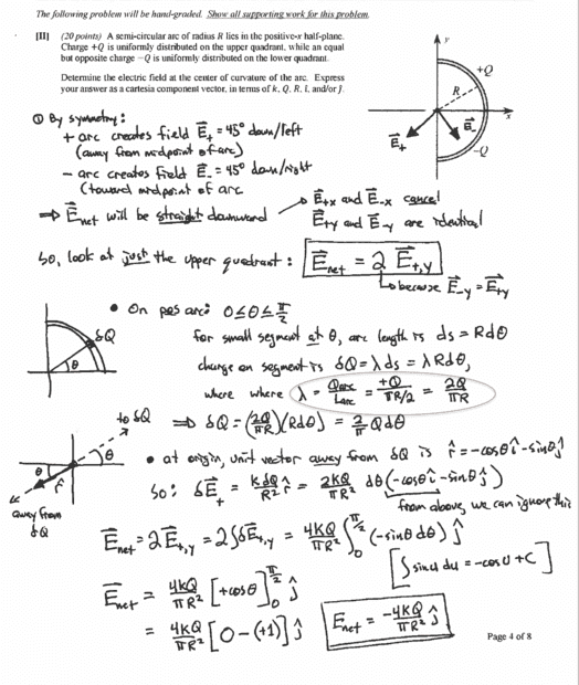
The discussion centers on calculating the electric field at the center of a charged arc, specifically a quarter-circle arc with a total charge of +Q. The charge density, denoted as λ, is defined as Q/L, where L is the length of the arc. The length of the arc is determined to be πR/2, derived from the circumference of a circle (2πR) divided by 4, confirming the charge distribution over the quarter-circle. Participants also seek simpler methods for understanding the problem, indicating a need for clearer explanations.

PREREQUISITES
  • Understanding of electric fields and charge distributions
  • Familiarity with the concepts of charge density (λ)
  • Knowledge of circular geometry, specifically arc length calculations
  • Basic principles of electrostatics
NEXT STEPS
  • Study the derivation of electric fields from continuous charge distributions
  • Learn about charge density calculations in different geometries
  • Explore alternative methods for visualizing electric fields, such as vector field diagrams
  • Investigate the principles of electrostatics in curved geometries
USEFUL FOR

Students in physics, particularly those studying electromagnetism, educators seeking to clarify complex concepts, and anyone interested in the mathematical foundations of electric fields and charge distributions.

guyvsdcsniper
Messages
264
Reaction score
37
Homework Statement
Determine electric field at center of curvature of arc.
Relevant Equations
E=KQ/r^2
I am having trouble understand where area circled in red.

I get that lamda is Q/L. The charge is +Q. Length is pi/R/2.

I am having trouble understanding why the length is pi/R/2? Is it because the circumference of a circle is 2*pi*R and since we have broken this problem down to just evaluating a quarter of the a circle, we divide 2*pi*R by 4 and get pi*R/2 which when we put that under Q we get 2Q/pi*R?

I wasnt sure until I typed out my question about and believe that may be the case, but just looking for some conformation.

Also, is there a simpler approach to this problem? My teacher wrote this out and I found it hard to follow.
 

Attachments

  • Screen Shot 2021-09-25 at 6.37.50 PM.png
    Screen Shot 2021-09-25 at 6.37.50 PM.png
    55.1 KB · Views: 181
Physics news on Phys.org
quittingthecult said:
I am having trouble understanding why the length is pi/R/2? Is it because the circumference of a circle is 2*pi*R and since we have broken this problem down to just evaluating a quarter of the a circle, we divide 2*pi*R by 4 and get pi*R/2 which when we put that under Q we get 2Q/pi*R?

I wasnt sure until I typed out my question about and believe that may be the case, but just looking for some conformation.
Yes, I think you have correctly answered your own question. The charge +Q is spread out over a length of a quarter of a circle of radius R.
quittingthecult said:
Also, is there a simpler approach to this problem? My teacher wrote this out and I found it hard to follow.
Your teacher's solution looks very good. If there is a specific place in the solution that you are confused about, we can help clarify.
 

Similar threads

  • · Replies 9 ·
Replies
9
Views
2K
Replies
6
Views
2K
Replies
4
Views
4K
Replies
11
Views
2K
Replies
12
Views
2K
  • · Replies 11 ·
Replies
11
Views
2K
  • · Replies 2 ·
Replies
2
Views
3K
  • · Replies 16 ·
Replies
16
Views
2K
  • · Replies 3 ·
Replies
3
Views
3K
  • · Replies 6 ·
Replies
6
Views
3K