Help Proving a Complex Laplace Transform

Click For Summary
SUMMARY

The discussion centers on proving a complex Laplace transform, specifically the equation L(f(t)) = limit T → infinity of ∫ from 0 to T of e^(-st) * f(t)dt. The user expresses difficulty in breaking down the function due to its dependence on both x and t, and seeks clarification on handling the exponent and denominator. A key insight provided is that the equation represents the definition of the Laplace transform, which does not require proof but rather application of the definition.

PREREQUISITES
  • Understanding of Laplace transforms and their definitions
  • Familiarity with integral calculus
  • Basic knowledge of limits in mathematical analysis
  • Proficiency in LaTeX for formatting mathematical expressions
NEXT STEPS
  • Study the properties of Laplace transforms and their applications
  • Learn techniques for solving integrals involving exponential functions
  • Explore advanced topics in complex analysis related to Laplace transforms
  • Practice using LaTeX for writing mathematical equations and expressions
USEFUL FOR

Students studying engineering or mathematics, particularly those tackling complex Laplace transforms and integral calculus. This discussion is beneficial for anyone seeking to deepen their understanding of Laplace transforms and their applications in solving differential equations.

EaglesFan7
Messages
2
Reaction score
0
Homework Statement
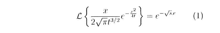
Hi, for a homework problem I have to prove this LaPlace transform, but I've never seen anything like this because it's in terms of x and t. I'm assuming x can just be left as constant but I'm not sure how to account for the exponent and the denominator. This definitely isn't something you can find on a table but I tried to break it down.
Relevant Equations
L(f(t)) = limit T ---> infinity of integral from 0 to T of e^(-st) * f(t)dt
So I could just try using the definition by taking the limit as T goes to infinity of ∫ from 0 to T of that entire function but that would be a mess. I tried breaking it down into separate pieces and seeing if I could use anything from the table but I honestly have no clue I'm really stuck. I'd appreciate any help, thank you guys.
 

Attachments

  • OPM1.PNG
    OPM1.PNG
    2.3 KB · Views: 309
Physics news on Phys.org
EaglesFan7 said:
Problem Statement: Hi, for a homework problem I have to prove this LaPlace transform, but I've never seen anything like this because it's in terms of x and t. I'm assuming x can just be left as constant but I'm not sure how to account for the exponent and the denominator. This definitely isn't something you can find on a table but I tried to break it down.
Relevant Equations: L(f(t)) = limit T ---> infinity of integral from 0 to T of e^(-st) * f(t)dt

So I could just try using the definition by taking the limit as T goes to infinity of ∫ from 0 to T of that entire function but that would be a mess. I tried breaking it down into separate pieces and seeing if I could use anything from the table but I honestly have no clue I'm really stuck. I'd appreciate any help, thank you guys.
What is there to prove? Your relevant equation is basically the definition of the Laplace transform of a function f, and you use definitions -- you don't prove them.

Here's your equation in a nicer format:
$$\mathcal L(f(t)) = \lim_{T \to \infty}\int_0^T e^{-st}f(t)dt$$
Click on the equation I wrote to see the LaTeX script I wrote.
Also, there's a link to our tutorial on LaTeX at the bottom left of the pane.
 
  • Like
Likes   Reactions: berkeman
Yes, here x is just an arbitrary constant.
 

Similar threads

  • · Replies 10 ·
Replies
10
Views
3K
  • · Replies 4 ·
Replies
4
Views
3K
  • · Replies 4 ·
Replies
4
Views
4K
  • · Replies 8 ·
Replies
8
Views
3K
Replies
9
Views
3K
Replies
5
Views
2K
  • · Replies 1 ·
Replies
1
Views
1K
Replies
3
Views
2K
  • · Replies 1 ·
Replies
1
Views
2K
Replies
5
Views
3K