Understanding the LaPlace Transformation for Solving Complex Integrals

Click For Summary

Homework Help Overview

The discussion revolves around the application of the LaPlace transformation to solve integrals involving the sine function. The original poster expresses difficulty in reaching the expected answer for a specific integral involving sin(t) and the exponential function.

Discussion Character

  • Exploratory, Assumption checking, Mathematical reasoning

Approaches and Questions Raised

  • Participants discuss the original poster's attempts at integration by parts and the validity of their final answer. There is also mention of an alternative method using complex exponentials to approach the integral.

Discussion Status

The conversation includes some guidance on the original poster's work, with one participant confirming the correctness of their final answer. However, there remains a lack of consensus on the best approach to take, as different methods are suggested.

Contextual Notes

Participants note the restrictions of the forum rules regarding providing complete solutions, emphasizing the need for hints rather than direct answers.

williamcarter
Messages
153
Reaction score
4
Moved from a technical forum, so homework template missing
Dear PF members.
I am requesting again your help as I keep struggling with the LaPlace transformation.
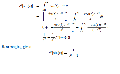
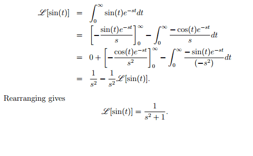
I have this exercise to do(please see below)
Capture.PNG


We know that L[f(t)]= integral from 0 to infinity of f(t)*e^(-st) dt
thus in our case, L[f(t)]= integral from 0 to infinity of sin(t)*e^(-st) dt

I tried doing it by parts twice, however I can't reach their answer.Please look below
Capture2.PNG

Could you please show me how to solve it?

Thank you in advance.
 
Physics news on Phys.org
Which part are you struggling with? Isn't your second attachment already the worked-out solution?
 
  • Like
Likes   Reactions: williamcarter
williamcarter said:
Dear PF members.
I am requesting again your help as I keep struggling with the LaPlace transformation.
I have this exercise to do(please see below)
View attachment 109363

We know that L[f(t)]= integral from 0 to infinity of f(t)*e^(-st) dt
thus in our case, L[f(t)]= integral from 0 to infinity of sin(t)*e^(-st) dt

I tried doing it by parts twice, however I can't reach their answer.Please look below
View attachment 109364
Could you please show me how to solve it?

Thank you in advance.

It is against PF rules for us to "show you how to solve it". At most, we can offer hints. However, since you have already done all the work, I can tell you that your final answer is correct.

Furthermore, the way you did it is one of the ways I would have done it; the other way would have been to write ##\sin(t) = (e^{it} - e^{-it})/(2i)## and integrate the two terms separately.
 
  • Like
Likes   Reactions: williamcarter
Thank you very much for confirming.
 

Similar threads

Replies
2
Views
2K
  • · Replies 1 ·
Replies
1
Views
1K
  • · Replies 3 ·
Replies
3
Views
3K
  • · Replies 10 ·
Replies
10
Views
3K
  • · Replies 3 ·
Replies
3
Views
2K
  • · Replies 4 ·
Replies
4
Views
3K
  • · Replies 1 ·
Replies
1
Views
1K
  • · Replies 4 ·
Replies
4
Views
4K
  • · Replies 2 ·
Replies
2
Views
3K
Replies
3
Views
2K