Help with chemical potential formula in a mixture

Click For Summary
SUMMARY

The discussion centers on the application of the chemical potential formula in mixtures, specifically addressing the role of molar fraction and partial pressure. The user questions why the proof for the chemical potential of pure substances does not directly apply to mixtures, despite similar steps appearing valid. It is established that the formula for chemical potential in mixtures incorporates partial molar volumes and molar fractions, which differ from pure substances due to interactions between components. The key takeaway is that the ideal gas law applies to mixtures, where the partial molar volume equals RT/P, with P representing total pressure.

PREREQUISITES
  • Understanding of chemical potential and its mathematical expression
  • Familiarity with the ideal gas law and its implications
  • Knowledge of partial molar volumes in thermodynamics
  • Basic concepts of molar fraction in mixtures
NEXT STEPS
  • Study the derivation of chemical potential for ideal gas mixtures
  • Explore the concept of partial molar volume in detail
  • Learn about the thermodynamics of mixtures and their interactions
  • Investigate the differences between pure substances and mixtures in thermodynamic equations
USEFUL FOR

Chemists, chemical engineers, and students studying thermodynamics or physical chemistry, particularly those focusing on the behavior of mixtures and chemical potential calculations.

Tryhard_
Messages
1
Reaction score
0
TL;DR
Why does the usual proof for expression of chemical potential for pure substances not work when they are in a mixture ? where does it fail and need to change ?
Hello, I've been struggling with understanding how the molar fraction term appears in the expression of chemical potential as a fonction of pressure when the element is in a mixture,
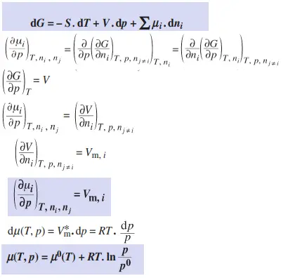
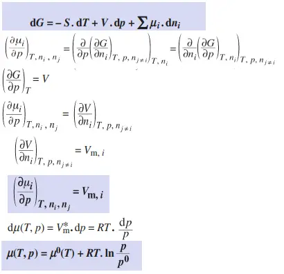
here is the proof given in my textbook for the expression of chemical potential of a pure substance (pure gas)
chem.webp


My problem isn't with this proof but rather why it doesn't work the same when the element is in a mixture because every step seems to work the same when the element is in a mixture, and the partial molar volume for a gas or a liquid in a mixture is the same as when same liquid is pure (it's the change in volume of the system per change in moles of the element right ?)
for example for a gas in a mixture of two gases let's say we have n1 + n2 = ntot => V = ntot*RT/P = (n1 + n2)*RT/P => dV/dn1 = RT/p where is the mistake ?
the text book uses partial pressure and molar fraction when elements are in a mixture but never gives a reason as to why:
1746756174127.webp
(this is the formula the textbook gives when a liquid is in a mixture)

Thanks a lot in advance for any help!
 

Attachments

  • 1746754788909.webp
    1746754788909.webp
    12.7 KB · Views: 71
Chemistry news on Phys.org
This is above my pay grade but since no one else seems to be answering... may I guess that the answer has to do with the thermodynamics of the mixture?
 
Tryhard_ said:
TL;DR Summary: Why does the usual proof for expression of chemical potential for pure substances not work when they are in a mixture ? where does it fail and need to change ?

Hello, I've been struggling with understanding how the molar fraction term appears in the expression of chemical potential as a fonction of pressure when the element is in a mixture,
here is the proof given in my textbook for the expression of chemical potential of a pure substance (pure gas)
View attachment 360833

My problem isn't with this proof but rather why it doesn't work the same when the element is in a mixture because every step seems to work the same when the element is in a mixture, and the partial molar volume for a gas or a liquid in a mixture is the same as when same liquid is pure (it's the change in volume of the system per change in moles of the element right ?)
for example for a gas in a mixture of two gases let's say we have n1 + n2 = ntot => V = ntot*RT/P = (n1 + n2)*RT/P => dV/dn1 = RT/p where is the mistake ?
the text book uses partial pressure and molar fraction when elements are in a mixture but never gives a reason as to why:
View attachment 360834 (this is the formula the textbook gives when a liquid is in a mixture)

Thanks a lot in advance for any help!
This is only valid for an ideal gas mixture where the partial molar volume of each species in the mixture is equal to RT\P, where P is the total pressure.
 

Similar threads

  • · Replies 2 ·
Replies
2
Views
2K
  • · Replies 1 ·
Replies
1
Views
2K
  • · Replies 3 ·
Replies
3
Views
2K
  • · Replies 5 ·
Replies
5
Views
2K
  • · Replies 4 ·
Replies
4
Views
4K
  • · Replies 1 ·
Replies
1
Views
4K
  • · Replies 11 ·
Replies
11
Views
3K
  • · Replies 3 ·
Replies
3
Views
2K
  • · Replies 16 ·
Replies
16
Views
3K