Help with Epsilon Delta Proof of Multivariable Limit

Click For Summary

Homework Help Overview

The discussion revolves around finding the limit of the function f(x,y) = (xy - x) / (x^2 + y^2 - 2y + 1) as (x,y) approaches (0,1). The original poster expresses confusion regarding the epsilon-delta proof and the existence of the limit, noting discrepancies in their reasoning.

Discussion Character

  • Exploratory, Assumption checking, Mathematical reasoning

Approaches and Questions Raised

  • The original poster attempts to apply the epsilon-delta definition of limits but struggles with the proof, believing they are arriving at a limit of zero despite indications that the limit does not exist. They question their logic and seek clarification on their approach.
  • Some participants suggest factoring the numerator and denominator to simplify the expression, while others discuss the implications of choosing different variables for epsilon and delta in the context of multivariable limits.
  • There is a focus on understanding when and how to appropriately use the technique of defining epsilon and delta in relation to the variables approaching their limits.

Discussion Status

Participants are actively engaging with the original poster's confusion, offering insights into the mathematical reasoning behind the limit and the epsilon-delta approach. Some guidance has been provided regarding the factorization of the function and the implications of variable choices, though no consensus has been reached regarding the limit's existence.

Contextual Notes

The original poster is self-studying calculus and lacks access to a teacher for immediate clarification. There is an acknowledgment of the limit's non-existence based on different paths approaching (0,1), which adds complexity to the discussion.

joe5185
Messages
9
Reaction score
1

Homework Statement


Hey guys. I am having a little trouble answering this question. I am teaching myself calc 3 and am a little confused here (and thus can't ask a teacher). I need to find the limit as (x,y) approaches (0,1) of f(x,y) when f(x,y)=(xy-x)/(x^2+y^2-2y+1).

Homework Equations


|f(x,y)-L|<epsilon
0<sqrt((x-a)^2+(y-b)^2))<delta
I made L=0, assumed epsilon>0

The Attempt at a Solution


Looking at the answer I see that the limit does not exist; however when I do the epsilon delta proof I can't see where I went wrong because I keep getting the result that it does :( ? So I attached a picture detailing my argument and I would love for someone to tell me where I went wrong. I chose L in the epsilon delta definition to be 0 because this is what I get when I approach (0,1) along x=0, y=1, and y=x^3+1 . I am aware that the limit does not exist because if you travel along x=y^2-1 you get a value other than zero. However my only concern is why my logic is not correct in the attached image. Thanks a lot! Also if you have tips for doing these epsilon delta proofs I would love to hear them.
 

Attachments

  • argument.png
    argument.png
    9 KB · Views: 2,348
Last edited:
Physics news on Phys.org
You can factor the numerator and get x(y-1) . Meanwhile your denominator factors and you get x^2+(y-1)^2. If you let ## x=\epsilon ## (it approaches zero) and let ## y-1=\Delta ## you then get a simple expression for the limit in terms of ## \epsilon ## and ## \Delta ##. If you let ## \Delta=\alpha \epsilon ## the result depends on ## \alpha ##. Thereby you don't have a single limit that it converges to. And I see your error=your denominator is greater than zero but it is not greater than 1.(top line=your inequality is incorrect.)
 
  • Like
Likes   Reactions: joe5185
thank you so much. I completely follow you here:). Do you mind elaborating on when I can use the technique where you choose what in your expression is delta and what is epsilon? It seems pretty powerful but I just want to make sure when and how to use it. Thanks for the help
 
joe5185 said:
thank you so much. I completely follow you here:). Do you mind elaborating on when I can use the technique where you choose what in your expression is delta and what is epsilon? It seems pretty powerful but I just want to make sure when and how to use it. Thanks for the help
You have two variables, x, y that are approaching a,b respectively. Let ## x-a=\epsilon ## and ## y-b=\Delta ##. The ## \epsilon ## and the ## \Delta ## both approach zero, but there's nothing that says ## \epsilon=\Delta ##. You can let ## \Delta=\alpha \epsilon ##.The constant ## \alpha ## is quite arbitrary. If you could show your expression to give an answer that is independent of ## \alpha ##, then the limit would be what you computed by evaluating the expression with the ## \epsilon ## and ## \Delta ##. Hopefully this is helpful.
 
very helpful! thanks
 
  • Like
Likes   Reactions: Charles Link
joe5185 said:

Homework Statement


Hey guys. I am having a little trouble answering this question. I am teaching myself calc 3 and am a little confused here (and thus can't ask a teacher). I need to find the limit as (x,y) approaches (0,1) of f(x,y) when f(x,y)=(xy-x)/(x^2+y^2-2y+1).

Homework Equations


|f(x,y)-L|<epsilon
0<sqrt((x-a)^2+(y-b)^2))<delta
I made L=0, assumed epsilon>0

The Attempt at a Solution


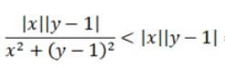
Looking at the answer I see that the limit does not exist; however when I do the epsilon delta proof I can't see where I went wrong because I keep getting the result that it does :( ? So I attached a picture detailing my argument and I would love for someone to tell me where I went wrong.
...
The following inequality from your picture does not hold if x2 + (y - 1)2 < 1 .
upload_2016-6-19_18-53-34.png
 

Similar threads

  • · Replies 31 ·
2
Replies
31
Views
3K
  • · Replies 9 ·
Replies
9
Views
4K
  • · Replies 8 ·
Replies
8
Views
2K
  • · Replies 15 ·
Replies
15
Views
6K
  • · Replies 12 ·
Replies
12
Views
3K
Replies
19
Views
2K
  • · Replies 6 ·
Replies
6
Views
2K
  • · Replies 5 ·
Replies
5
Views
2K
  • · Replies 13 ·
Replies
13
Views
2K
  • · Replies 20 ·
Replies
20
Views
3K