Help with partition function calculation

Click For Summary
SUMMARY

This discussion focuses on the calculation of the partition function for spin-1/2 particles in a magnetic field. The user incorrectly summed over all possible normalized states instead of the eigenstates of the spin operator, leading to erroneous results. Specifically, the average spin converged to +1/2 and -1/2 at zero temperature but yielded a non-zero value at infinite temperature, indicating a fundamental error in the approach. The forum moderator emphasized the importance of using LaTeX for mathematical expressions to facilitate accurate feedback.

PREREQUISITES
  • Understanding of quantum mechanics, specifically spin-1/2 particles
  • Familiarity with statistical mechanics and the concept of partition functions
  • Knowledge of eigenstates and operators in quantum mechanics
  • Proficiency in LaTeX for formatting mathematical equations
NEXT STEPS
  • Study the derivation of the partition function for spin systems in quantum mechanics
  • Learn about the significance of eigenstates in quantum statistical mechanics
  • Practice using LaTeX for mathematical expressions to enhance clarity in discussions
  • Explore the implications of temperature on quantum systems and average spin calculations
USEFUL FOR

Students and researchers in quantum mechanics, physicists working with statistical mechanics, and anyone involved in the calculation of partition functions for quantum systems.

hammer123
Messages
2
Reaction score
1
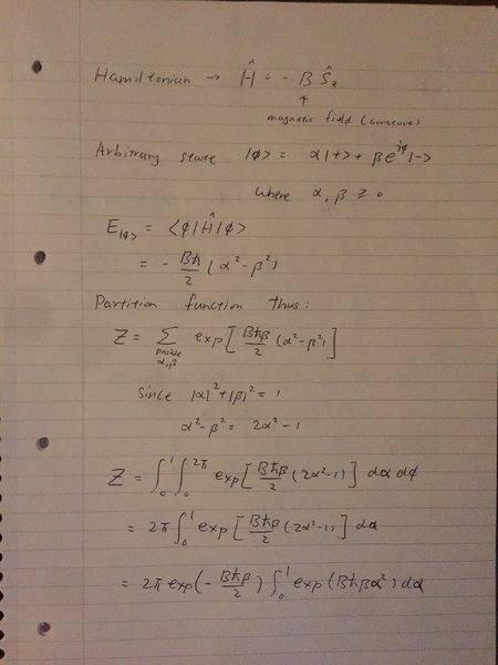
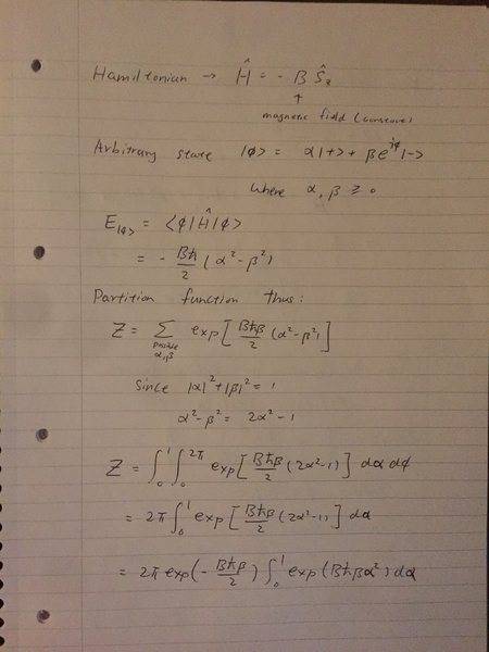
Hi, would very much appreciate it if I could get some help for something I was trying to calculate. I'm not very good at latex so I've just attached images of my attempt. I would very much appreciate it if you could look over the images I've taken and provide some feedback, thank you.

I've been trying to calculate the partition function for spin-1/2 particles in a magnetic field, however instead of summing over the eigenstates of the spin operator in the direction of the field, I've summed over all possible normalized states.

Which leads me to my first question, is this allowed? And if not, why not?

My second question becomes apparent if you take a quick look at the images I've attached (end of part 2). Essentially I found that the average spin derived from the partition function did converge to +1/2 and -1/2 as the temperature went to zero, however I got a non-zero value as the temperature went to infinity.

I'm sure this indicates that something went wrong with my calculations, but I'm not sure if it's because I made a mistake or that the entire idea was invalid.
 

Attachments

  • Part 1.jpeg
    Part 1.jpeg
    27.8 KB · Views: 620
  • Part 2.jpeg
    Part 2.jpeg
    27.6 KB · Views: 599
Physics news on Phys.org
hammer123 said:
I'm not very good at latex so I've just attached images of my attempt.

Unfortunately, that is against the forum rules. You need to put your equations directly into your post, so that they can be quoted by people who want to respond to you. Help with LaTeX can be found here:

https://www.physicsforums.com/help/latexhelp/

I have closed this thread in view of the above. Please re-post your question in a new thread using LaTeX.
 

Similar threads

  • · Replies 2 ·
Replies
2
Views
2K
  • · Replies 2 ·
Replies
2
Views
2K
  • · Replies 1 ·
Replies
1
Views
2K
  • · Replies 5 ·
Replies
5
Views
2K
  • · Replies 9 ·
Replies
9
Views
2K
  • · Replies 1 ·
Replies
1
Views
2K
  • · Replies 2 ·
Replies
2
Views
2K
  • · Replies 1 ·
Replies
1
Views
2K
  • · Replies 1 ·
Replies
1
Views
2K
  • · Replies 1 ·
Replies
1
Views
2K