Higgs decay to Z and Z* at LHC

  • Context: Undergrad 
  • Thread starter Thread starter Dhmht_Kr
  • Start date Start date
  • Tags Tags
    Decay Higgs Lhc
Click For Summary

Discussion Overview

The discussion revolves around the decay of the Higgs boson into Z and off-shell Z* particles at the Large Hadron Collider (LHC). Participants explore the implications of this decay, the characteristics of the Z* particle, and the experimental observations related to Higgs decay processes.

Discussion Character

  • Technical explanation
  • Experimental/applied
  • Debate/contested

Main Points Raised

  • One participant asks for clarification on what Z* is in the context of Higgs decay and why it has a different mass from the Z boson.
  • Another participant explains that Z* refers to an off-shell Z particle, indicating that it is not a physical Z boson but rather a set of particles resulting from a Z-interaction, noting that the Higgs is too light to produce two on-shell Z bosons in decay.
  • A participant provides a definition of on-shell conditions, referencing the energy-momentum relation and relating it to muon decay as an example.
  • Experimental measurements are discussed, highlighting that four muons (two positive and two negative) are detected, and the process of selecting events with a specific invariant mass related to the Z boson is described.
  • Another participant suggests that if the Higgs mass were greater than twice the Z mass, additional cuts could be made to identify pairs of muons with invariant mass equal to the Z mass.
  • One participant remarks on the visibility of the ZZ* decay, questioning why this decay is significant despite the Z* being off-shell by a considerable amount, suggesting that the longitudinal component of the Z boson is associated with the Higgs.
  • It is noted that the branching ratio for WW* decays is higher for a Higgs mass of 125 GeV, but these decays are more complex and challenging to measure compared to Z decays.
  • A participant asserts that WW decays will always be more prominent than ZZ decays, attributing this to theoretical considerations involving Clebsch and Gordon.

Areas of Agreement / Disagreement

Participants express differing views on the significance and implications of the Z* particle in Higgs decay, as well as the comparative visibility of ZZ and WW decays. There is no consensus on the reasons behind the observed decay characteristics.

Contextual Notes

Participants reference specific experimental thresholds, decay characteristics, and theoretical models without resolving the underlying assumptions or dependencies on definitions related to off-shell particles.

Dhmht_Kr
Messages
4
Reaction score
0
TL;DR
What is the Z* and why it has different mass from Z ?
Goodmornig.I would like to explain me What is the Z* at higgs decay and why it has different mass from Z ?
 
Physics news on Phys.org
It is an off-shell Z, ie, it is not a Z, but a set of particles produced by a Z-interaction.

The Higgs is too light to produce two Zs on-shell in a decay.
 
  • Like
Likes   Reactions: apostolosdt, ohwilleke, topsquark and 2 others
on-shell means that ##E^2 = p^2 + m^2## holds (in units of c=1).

you can read more here, section 2.2.2 https://arxiv.org/abs/hep-ph/0503172

With the same notation, we could write the muon decay as ##\mu^- \to \nu_\mu + W^{-*}##
 
Last edited:
  • Like
Likes   Reactions: ohwilleke, vanhees71 and topsquark
What is measured experimentally is 4 muons (2 positive & 2 negative).
Then you make a cut on your data to only keep events which has a muon pair (positive and negative) with an invariant mass = mZ (+/- some threshold due to Z-width and experimental uncertainty).
After that, plot the invariant mass of the 4 muons, you should see a peak centered around mH (which we now know is ≈ 125 GeV).
1670510086473.png
 
Last edited:
  • Like
Likes   Reactions: topsquark, vanhees71 and ohwilleke
Here is a plot with more data:
1670511729169.png
 
  • Like
Likes   Reactions: topsquark and malawi_glenn
Just one more flavor. If mH > 2mZ we would have the same signal 4 muons. But then one could make one more cut, namely that you would have two pair of muons with invariant mass = mZ
 
  • Like
Likes   Reactions: Vanadium 50 and topsquark
I'd turn it around - the fact that ZZ* is visible at all is remarkable. The Z* is off shell by 20-30Γ or so. Why is that decay large enough to see? The answer is that the longitudinal component of the Z is the Higgs.
 
  • Like
Likes   Reactions: mfb
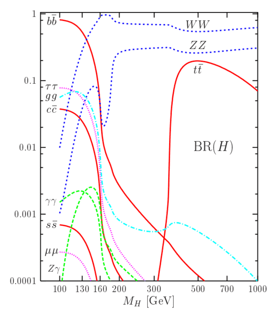
Still the WW* Branching ratio is much higher for mH = 125 GeV
which is a much harder signal to measure, since the W decay is more "messy" than Z decays.
1670608928449.png
 
The WW will always be above ZZ. Don't blame me, Blame Clebsch and Gordon.
 
  • Haha
Likes   Reactions: vanhees71

Similar threads

  • · Replies 7 ·
Replies
7
Views
3K
  • · Replies 11 ·
Replies
11
Views
4K
  • · Replies 13 ·
Replies
13
Views
5K
  • · Replies 2 ·
Replies
2
Views
2K
  • · Replies 17 ·
Replies
17
Views
7K
  • · Replies 6 ·
Replies
6
Views
3K
  • · Replies 13 ·
Replies
13
Views
4K
  • · Replies 8 ·
Replies
8
Views
3K
  • · Replies 9 ·
Replies
9
Views
2K
  • · Replies 7 ·
Replies
7
Views
2K