Horizontal & vertical angle of antenna beams & UE position

Click For Summary
SUMMARY

This discussion focuses on calculating antenna gain by determining the horizontal (Φ) and vertical (θ) angles of antenna beams. The user inquires about converting rectangular coordinates to spherical coordinates to compute these angles, as well as the possibility of using vector inner products for angle calculations. The conversation highlights the need for clarity in problem definition and the importance of using established gain equations in antenna theory.

PREREQUISITES
  • Understanding of Cartesian and spherical coordinate systems
  • Familiarity with antenna gain equations
  • Knowledge of vector mathematics and inner products
  • Basic principles of cellular network design and user equipment (UE) positioning
NEXT STEPS
  • Research antenna gain calculations using spherical coordinates
  • Study vector mathematics in the context of antenna theory
  • Explore the derivation and application of standard gain equations
  • Investigate user equipment positioning techniques in cellular networks
USEFUL FOR

Engineers and researchers in telecommunications, particularly those involved in antenna design, gain calculations, and cellular network optimization.

Aliakber2k10
Messages
1
Reaction score
0
Hi this is my first post here.
Sorry for this naive question xD

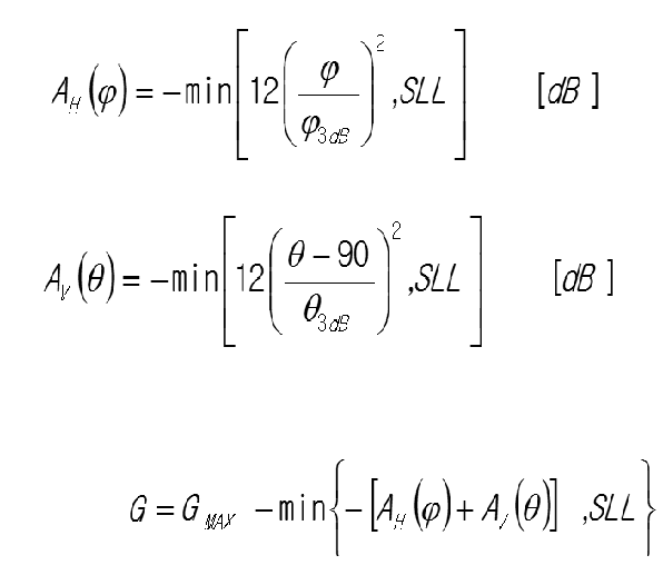
I want to calculate antenna gain for which I need the horizontal Φ and vertical θ angle of an antenna beam.
The formula for gain is.
ASWwpua.png

is it ok to convert the rectangular coordinates of antenna into spherical coordinates and compute Φ & θ using standard equations (Cartesian to Spherical)
cvQIIvC.png

Similarly if there is a user in the cell can I calculate Φ & θ of user position, and then compute the relative difference and utilize it in the gain equation. i.e.
KJ8RAWP.png
.

Moreover is it also possible that i consider them in-terms of vectors and use inner product to compute the angles Φ & θ? e.g:
mywu4Qm.png

and their inner product which can be,
eBZ7vzN.png
.

I would appreciate any kind of help.

Thank you in advance. :)
 
Last edited:
Engineering news on Phys.org
Hi and welcome to PF. I'm afraid it's not at all clear to me what situation you are analyzing, what you are trying to find, and how you are approaching the problem. Please explain your problem as though you are talking to someone (everyone here at PF in fact) who doesn't yet know what it is. And where did you get the first two equations? These do not look like general gain equations to me.
 

Similar threads

  • · Replies 4 ·
Replies
4
Views
3K
Replies
5
Views
5K
Replies
1
Views
4K
  • · Replies 3 ·
Replies
3
Views
3K
  • · Replies 1 ·
Replies
1
Views
3K
  • · Replies 7 ·
Replies
7
Views
4K
Replies
9
Views
2K
  • · Replies 4 ·
Replies
4
Views
8K
  • · Replies 4 ·
Replies
4
Views
2K
  • · Replies 3 ·
Replies
3
Views
4K