How can I convert a 2nd order ODE to a 1st order ODE?

  • Context: Undergrad 
  • Thread starter Thread starter jrv24
  • Start date Start date
  • Tags Tags
    2nd order Ode
Click For Summary

Discussion Overview

The discussion revolves around the conversion of second order ordinary differential equations (ODEs) into first order ODEs. Participants explore methods and conditions under which such conversions can be made, particularly focusing on the implications of having additional information or known solutions.

Discussion Character

  • Technical explanation
  • Conceptual clarification
  • Debate/contested

Main Points Raised

  • One participant expresses difficulty in starting the conversion of a second order ODE involving both x and y with respect to t.
  • Another participant asserts that a single second order equation cannot be reduced to a single first order equation without additional information, suggesting that two second order equations can only be converted to four first order equations.
  • This participant proposes defining new variables (z1, z2, z3, z4) to represent the derivatives and the original variables, providing a method to express the second order equations in first order form.
  • A subsequent post seeks clarification on the assertion that additional information is required for conversion, indicating that the explanation was not fully understood.
  • Another participant elaborates that knowing one solution to a second order differential equation allows for the reduction to a first order equation for another linearly independent solution, drawing an analogy to polynomial factorization.

Areas of Agreement / Disagreement

Participants do not reach a consensus on the methods for converting second order ODEs to first order ODEs, with some arguing that additional information is necessary while others provide examples of how known solutions can facilitate the process.

Contextual Notes

The discussion highlights the complexity of converting second order ODEs and the dependence on specific conditions, such as the existence of known solutions, which may not be universally applicable.

jrv24
Messages
1
Reaction score
0
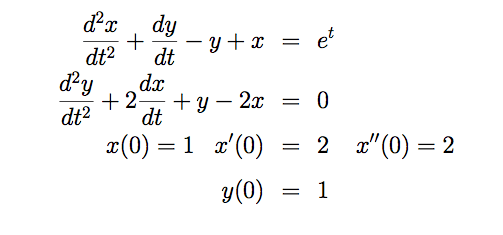
Hi, have this strange 2nd order ODE in one of my tutorials that I am struggling to start. I am not used to dealing with derivatives of both x and y as well as a function involving t.
I was wondering if anyone may be able to point me to the starting line.

I am trying to convert them into 1st order ODEs.

Thanks
 

Attachments

  • Picture 1.png
    Picture 1.png
    4.4 KB · Views: 607
Physics news on Phys.org
Do you mean convert those two second order equations to four first order equations? There is no way to reduce a single second order equation to a single first order equation or two second order equations to two first order equations unless you have additional information such as already knowing a solution.

The standard method would be to define new variables, say z1, z2, z3, and z4 such that z1=x, z2= dx/dt, z3= y, and z4= dy/dt. Of course, [itex]d^2x/dt^2= d(dx/dt)dt= dz2/dt[/itex] and [itex]d^2y/dt^2= d(dy/dt)/dt= dz4/dt[/itex].

The equation [itex]d^2x/dt^2+ dy/dt- y+ x= e^t[/itex] becomes [itex]dz2/dt+ z4- z3+ z1= e^t[/itex] or [itex]dz2/dt= -z1+ z3- z4+ e^t[/itex] and [itex]d^2y/dt^2+ 2dx/dt+ y- 2x= 0[/itex] becomes [itex]dz4/dt+ 2z2+ z3- 2z1= 0[/itex] or [itex]dz4/dt= 2z1- 2z2- z3[/itex].

The other two equations are, of course, [itex]dz1/dt= z2[/itex] and [itex]dz3/dt= z4[/itex].
 
There is no way to reduce a single second order equation to a single first order equation or two second order equations to two first order equations unless you have additional information such as already knowing a solution.

please , could you re-explain this passage.it is not uderstood for me , thank you
 
If you have, say, a second order differential equation and already know one solution you can reduce it to a first order equation for another, linearly independent, solution in much the same way that you can reduce the degree of a polynomial if you already know one of its roots.

For example, I know that one of the roots of the polynomial equation [itex]x^3- 6x^2+ 11x- 6= 0[/itex] is x= 1 and that means that the polynomial has a factor of x- 1. Dividing that polynomial by x- 1 I get [math]x^2- 5x+ 6= 0[/math] as a second degree equation for the other two roots.

Similarly, if I know that [itex]y= e^x[/itex] is a solution to the differential equation y''- 3y'+ 2y= 0, I can "try" a solution of the form [itex]y= u(x)e^x[/itex]. Then [itex]y'= u(x)e^x+ u'(x)e^x[/itex] and [itex]y''=ue^x+ 2u'e^x+ u''e^x[/itex].

Putting those into the
 

Similar threads

  • · Replies 7 ·
Replies
7
Views
3K
  • · Replies 5 ·
Replies
5
Views
3K
  • · Replies 6 ·
Replies
6
Views
2K
  • · Replies 9 ·
Replies
9
Views
3K
Replies
3
Views
3K
  • · Replies 1 ·
Replies
1
Views
2K
  • · Replies 3 ·
Replies
3
Views
4K
  • · Replies 2 ·
Replies
2
Views
3K
  • · Replies 6 ·
Replies
6
Views
2K
Replies
5
Views
3K