How Do Electric Fields Affect Electron Kinematics?

Click For Summary

Homework Help Overview

The problem involves an electron moving through a uniform electric field, with an initial speed and angle provided. The task is to determine the x and y components of the electron's velocity upon hitting a detection screen positioned at a specific distance.

Discussion Character

  • Mixed

Approaches and Questions Raised

  • Participants discuss the initial x-component of velocity remaining constant due to the absence of horizontal acceleration. There is uncertainty regarding the calculation of the y-component of velocity, with some questioning the logic behind the electron's acceleration direction in the electric field. Concerns about potential calculation errors are raised, along with the impact of neglecting gravity.

Discussion Status

The discussion is ongoing, with participants exploring different aspects of the problem. Some have provided guidance on the reasoning behind the electron's motion, while others express doubts about their calculations and suggest seeking further clarification from instructors.

Contextual Notes

Participants note that the problem may generate new values if an incorrect answer is inputted, which complicates the verification of their calculations. There is also mention of the negligible effect of gravity compared to the electrostatic force in this context.

jpierce879
Messages
2
Reaction score
0

Homework Statement



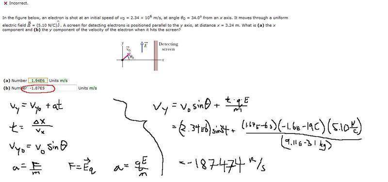
In the figure below, an electron is shot at an initial speed of v0 = 2.25 × 106 m/s, at angle θ0 = 20.0o from an x axis. It moves through a uniform electric field = (5.04 N/C) . A screen for detecting electrons is positioned parallel to the y axis, at distance x = 3.23 m. What is (a) the x component and (b) the y component of the velocity of the electron when it hits the screen?

Homework Equations



E = F/q; F = E*q
F = m*a; a = F/m = E*q/m
t = Dx/Vx
Vy = Vo + Ay*t

The Attempt at a Solution



It would probably be easier to look at the attached image to see my work, but I'll try explaining my logic here anyway. The x-component of the velocity is the same as the initial x-component since there is no horizontal acceleration - it turns out to be Vo*cos(20°).

The second part, however, I've had a lot of trouble on. I've tried it multiple times so it doesn't seem to be a calculator error. My logic here is that since fields point from + to - and the magnitude of field strength at any point doesn't depend on the distance from whatever's causing the field, the electron (being negatively charged) accelerates in the -y direction. My work is shown in the attached image. I was just wondering if my logic is correct, and if so then is it just a calculation error on my part?
 

Attachments

  • asdfs.jpg
    asdfs.jpg
    26.6 KB · Views: 594
Physics news on Phys.org
Looks OK but the numbers in the attached solution do not match the numbers that you posted in the problem statement.
 
Last edited:
Sorry, when the answer inputted is incorrect the question generates new values to prevent you from just guessing randomly; the screenshot is from a past attempt.

So it's most likely a calculator error I'm making when plugging in the values? I've tried it at least 5 times and double checked it, but I always seem to get part (b) wrong. Also, I've neglected gravity because it's negligible compared to the electrostatic force.
 
jpierce879 said:
So it's most likely a calculator error I'm making when plugging in the values? I've tried it at least 5 times and double checked it, but I always seem to get part (b) wrong. Also, I've neglected gravity because it's negligible compared to the electrostatic force.
I did part (b) for the screen shot and I agree with you both with the method and the numbers. It is probably an error with inputting the formula that Blackboard or WebAssign or MasteringPhysics (or whatever evil thing controls this question) uses to determine whether your answer is correct. If I were you, I would take my solution to my teacher and ask him/her to show me what I did wrong. You might end up doing the entire class a favor.
 

Similar threads

Replies
3
Views
1K
  • · Replies 6 ·
Replies
6
Views
1K
Replies
4
Views
4K
  • · Replies 16 ·
Replies
16
Views
2K
Replies
4
Views
3K
  • · Replies 5 ·
Replies
5
Views
2K
  • · Replies 3 ·
Replies
3
Views
2K
Replies
1
Views
3K
  • · Replies 2 ·
Replies
2
Views
2K
  • · Replies 6 ·
Replies
6
Views
2K