How do I parametrize a line integral with vector functions?

Click For Summary

Homework Help Overview

The discussion revolves around parametrizing a line integral using vector functions, specifically focusing on integrating a vector field along a curve defined by a parameterization.

Discussion Character

  • Exploratory, Assumption checking, Problem interpretation

Approaches and Questions Raised

  • Participants discuss the need to express the vector field in terms of the parameter t and question how to ensure that points (x, y) lie on the curve defined by r(t). There is also an exploration of how to relate the curve to a function of x and y.

Discussion Status

The conversation includes attempts to clarify the relationship between the parameterization of the curve and the vector field. Some participants express uncertainty about the process, while others provide encouragement and acknowledgment of progress made.

Contextual Notes

One participant mentions a realization about their approach, indicating a moment of clarity in the discussion. There is an indication of potential frustration with the complexity of the problem.

iScience
Messages
466
Reaction score
5
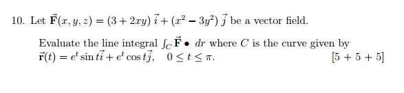
LRO8ziP.png


(disregard the [5+5+5] in the question)attempt:
dr=(et(cost)+(sint)et)[itex]\hat{i}[/itex] + (-et(sint)+(cost)et)[itex]\hat{j}[/itex]

∫<3+2xy, x2-3y2>[itex]\cdot[/itex]<et(cost)+(sint)et, -et(sint)+(cost)et>dt

..at which point i remembered i had to parametrize F in terms of t, but didn't know how to do
 
Physics news on Phys.org
you want to integrate only over those values of x and y that lie on the curve mapped out by r(t) ... so what determines if a point (x,y) is on r?
 
to answer your question, it would be if curve C lies if the domain of F, i don't see how this would help me though, I'm trying to put the vector field in terms of t.
 
you want to integrate only over those values of x and y that lie on the curve mapped out by r(t)

i would have to put the curve that is in terms of t, into some function of x and y then, how?
 
this was a stupid question. Sorry, i just figured it out...
 
Well done :)
 

Similar threads

Replies
3
Views
2K
  • · Replies 21 ·
Replies
21
Views
4K
  • · Replies 4 ·
Replies
4
Views
8K
  • · Replies 4 ·
Replies
4
Views
2K
  • · Replies 4 ·
Replies
4
Views
3K
  • · Replies 8 ·
Replies
8
Views
2K
Replies
6
Views
3K
Replies
6
Views
2K
  • · Replies 7 ·
Replies
7
Views
5K
Replies
12
Views
2K