How do they come from F to the area? (formula example)

  • Thread starter Thread starter discy
  • Start date Start date
  • Tags Tags
    Area Example
Click For Summary
SUMMARY

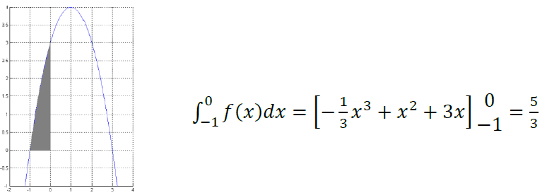
The discussion focuses on calculating the definite integral using the function F(x) = -x^3/3 + x^2 + 3x. Participants confirm that to find the area between the curve and the x-axis from F(-1) to F(0), the formula F(top number) - F(bottom number) is applied. The specific calculation yields F(0) - F(-1) = (0) - (1/3 + 1 - 3) = 8/3. This establishes a clear method for evaluating definite integrals using polynomial functions.

PREREQUISITES
  • Understanding of polynomial functions and their properties
  • Knowledge of definite integrals and area under curves
  • Familiarity with calculus concepts, specifically the Fundamental Theorem of Calculus
  • Ability to perform algebraic manipulations and evaluations of functions
NEXT STEPS
  • Study the Fundamental Theorem of Calculus in detail
  • Learn how to evaluate definite integrals of polynomial functions
  • Explore applications of definite integrals in real-world scenarios
  • Practice with various functions to solidify understanding of area calculations
USEFUL FOR

Students studying calculus, mathematics educators, and anyone interested in mastering integral calculus and its applications.

discy
Messages
14
Reaction score
0
/close
 

Attachments

  • Untitled.png
    Untitled.png
    8.1 KB · Views: 501
Last edited:
Physics news on Phys.org
It's just F(top number) - F(bottom number) if F(x) = -x^3/3+x^2+3x, what is F(0)-F(-1)?
 

Similar threads

  • · Replies 2 ·
Replies
2
Views
2K
  • · Replies 8 ·
Replies
8
Views
2K
Replies
4
Views
1K
Replies
2
Views
3K
  • · Replies 8 ·
Replies
8
Views
2K
  • · Replies 15 ·
Replies
15
Views
2K
Replies
8
Views
3K
Replies
4
Views
3K
  • · Replies 2 ·
Replies
2
Views
2K
  • · Replies 7 ·
Replies
7
Views
2K