How Do You Determine the Acceleration and Tension in a String and Pulley System?

Click For Summary

Homework Help Overview

The problem involves a system of three blocks with given masses and asks for the determination of acceleration and tension in a string and pulley setup, while neglecting friction and pulley mass.

Discussion Character

  • Exploratory, Assumption checking

Approaches and Questions Raised

  • The original poster attempts to understand how to determine the direction of movement for the blocks and how to set up the equations of motion based on that direction. They express confusion about the implications of their assumptions on the equations.

Discussion Status

Some participants provide guidance on selecting directions for acceleration and suggest that incorrect assumptions will simply result in a negative sign in the final equations. There is an ongoing exploration of how to label distances and velocities in the context of the problem.

Contextual Notes

The original poster mentions a specific condition of P=0 and the neglect of friction and pulley mass, which may influence the setup of their equations.

phizics09
Messages
38
Reaction score
1

Homework Statement



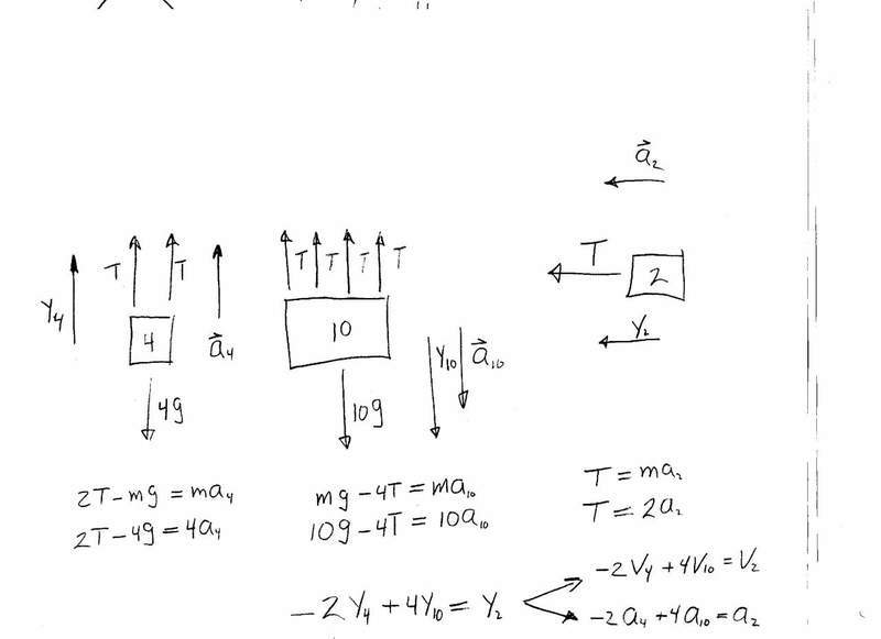
The masses of blocks A,B, and C are 4kg, 10kg and 2kg respectively. Knowing that P=0 and neglecting the masses of the pulleys and the effects of friction, determine a) the acceleration of each block and the tension in the chord.

Homework Equations



Fnet=ma

The Attempt at a Solution


I know that we have to draw FBD's for each block and then figure out the equations of each Fnet. But first, how do you know the direction that this system will move? Because for example, if you know that block A is moving down, we can assume down is positive and its equation will be
ma=mg-2T (because we denote down as positive)? Also, for block B, will the tension be 4T, since it's connected to four strings?
I am confused about how system works.

Thanks!

Physics Problem Set.jpg
 
Physics news on Phys.org
Just pick directions that you think the masses will accelerate and then write out you equations accordingly. If you picked the wrong direction the acceleration will have a minus sign in the end.

See,
 

Attachments

  • pulley072.jpg
    pulley072.jpg
    20.4 KB · Views: 513
Oh, okay thanks for the diagram! What is y and V though?
 
y_2, y_4, and y_10 label the distances the masses move and V_2, V_4, and V_10 are the velocities of those masses. The directions chosen are my guess as to which way the masses will move.

Good luck!
 

Similar threads

  • · Replies 12 ·
Replies
12
Views
2K
  • · Replies 22 ·
Replies
22
Views
3K
  • · Replies 5 ·
Replies
5
Views
1K
  • · Replies 27 ·
Replies
27
Views
3K
  • · Replies 18 ·
Replies
18
Views
2K
  • · Replies 18 ·
Replies
18
Views
5K
  • · Replies 29 ·
Replies
29
Views
6K
  • · Replies 22 ·
Replies
22
Views
3K
  • · Replies 3 ·
Replies
3
Views
2K
  • · Replies 8 ·
Replies
8
Views
3K