How Do You Solve Equations with Floor Functions and Logarithms?

  • Context: Undergrad 
  • Thread starter Thread starter inqusoc
  • Start date Start date
  • Tags Tags
    Function
Click For Summary
SUMMARY

The discussion focuses on solving equations that involve floor functions and logarithms, specifically the equation where the integer part of a fraction is considered. The apparent solution identified is x = 53, which is confirmed to be an integer. However, the participants agree that analytical solutions are not feasible, and numerical methods, particularly trial and error for small integer values, are the most effective approach. Values from 52 to 56 are also noted as valid solutions for x.

PREREQUISITES
  • Understanding of floor functions in mathematics
  • Basic knowledge of logarithmic functions, specifically natural logarithms (ln)
  • Familiarity with numerical methods for solving equations
  • Experience with trial and error techniques in problem-solving
NEXT STEPS
  • Explore numerical methods for solving equations involving floor functions
  • Learn about the properties and applications of logarithmic functions
  • Research techniques for implementing trial and error in mathematical problem-solving
  • Investigate advanced mathematical software tools for numerical analysis
USEFUL FOR

Students, mathematicians, and anyone interested in solving complex equations involving floor functions and logarithms, particularly those seeking practical numerical solutions.

inqusoc
Messages
1
Reaction score
0
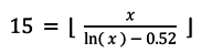
hi I'm new here. For a couple of days i am struggling to methodically solve an equation involving the integer part of a fraction but nothing yet. The equation is;
upload_2015-8-15_18-12-46.png

I found that the apparent solution is 53 as x HAS to be integer. Yet, I cannot mathematically prove how to compute x to be equal to 53. Any opinion is welcome, thanks!
 

Attachments

  • upload_2015-8-15_18-12-29.png
    upload_2015-8-15_18-12-29.png
    1.5 KB · Views: 462
Physics news on Phys.org
There is no way to solve the equation analytically with x and ln(x) like that. Numerical approaches are the best option, for small integer x this just means trial and error.

52 to 56 all work for x.
 

Similar threads

  • · Replies 9 ·
Replies
9
Views
3K
  • · Replies 2 ·
Replies
2
Views
4K
  • · Replies 17 ·
Replies
17
Views
2K
Replies
2
Views
2K
Replies
3
Views
2K
  • · Replies 11 ·
Replies
11
Views
3K
  • · Replies 9 ·
Replies
9
Views
4K
  • · Replies 5 ·
Replies
5
Views
2K
  • · Replies 14 ·
Replies
14
Views
3K
  • · Replies 1 ·
Replies
1
Views
2K