How Does the Fundamental Theorem of Calculus Apply to Derivatives of Integrals?

Click For Summary

Homework Help Overview

The discussion revolves around the application of the Fundamental Theorem of Calculus, specifically regarding the relationship between derivatives and integrals. Participants are examining how to correctly differentiate an integral function, particularly when the variable of integration and the limit of integration are both represented by 'x'.

Discussion Character

  • Conceptual clarification, Mathematical reasoning, Assumption checking

Approaches and Questions Raised

  • Participants explore the correct formulation of the Fundamental Theorem of Calculus, questioning the use of 'x' as both a limit and a variable. There are attempts to clarify the roles of different variables in the context of integration and differentiation.

Discussion Status

Some participants have provided insights into the correct notation and the implications of using different variables for integration. There is ongoing exploration of the relationship between the limits of integration and the variable of integration, with no explicit consensus reached on the best approach to the problem.

Contextual Notes

Participants note potential confusion arising from the use of the same symbol for both the limit of integration and the variable of integration, which may lead to misunderstandings in applying the theorem correctly. There is also mention of the need for clarity regarding the definitions of domain and interval in this context.

Karol
Messages
1,380
Reaction score
22

Homework Statement


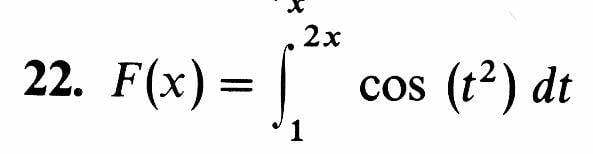
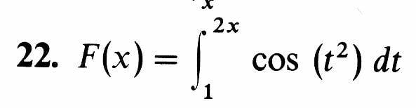
Snap1.jpg

Snap2.jpg


Homework Equations


$$F(x)=\int_a^x f(x),~~F'(x)=f(x)$$

The Attempt at a Solution


In F'(x), x is at the end of the domain a-x, so, in my function ##~\cos(x^2)~## i also have to take the end of the domain, and it's 2x, so F'(x)=cos(4x2), but it's not enough.
The answer is F'(x)=2cos(4x2). i have to find F'(x) at x, not at 2x, so i don't know how
 
Physics news on Phys.org
Karol said:

Homework Statement


View attachment 198424
View attachment 198425

Homework Equations


$$F(x)=\int_a^x f(x),~~F'(x)=f(x)$$
Your relevant equation isn't quite right. This part of the Fund. Thm. of Calculus is usually presented this way:
##F(x) = \int_a^x f(t)~dt \Rightarrow F'(x) = f(x)##
In short, you have x appearing as both a limit of integration and as the variable of integration. Further, you have omitted dt.
Karol said:

The Attempt at a Solution


In F'(x), x is at the end of the domain a-x, so, in my function ##~\cos(x^2)~## i also have to take the end of the domain, and it's 2x, so F'(x)=cos(4x2), but it's not enough.
The right term is "interval," not domain.
Karol said:
The answer is F'(x)=2cos(4x2). i have to find F'(x) at x, not at 2x, so i don't know how
##F(x) = \int_1^{2x} \cos(t^2)~dt##
Let u = 2x, so du/dx = 2
##F'(x) = \frac d {du} \int_1^u \cos(t^2)~dt \cdot \frac{du}{dx}##
Can you continue with this?
 
Mark44 said:
In short, you have x appearing as both a limit of integration and as the variable of integration.
I don't understand why to use x and t, and not only x. the graph is in the xy plane, and the domain is on the x axis.
But i couldn't separate between the limit of integration and the variable, as you did in the chain rule, if they were one, so that's the reason? i guess not only.
$$F'(x) = \frac d {du} \int_a^u \cos(t^2)~dt \cdot \frac{du}{dx}=2\cos(t^2)$$
 
Karol said:
I don't understand why to use x and t, and not only x. the graph is in the xy plane, and the domain is on the x axis.
Because in the Fund. Thm. of Calculus, you have ##F(x) = \int_a^x f(t)~dt##, so that F is a function of x, because x shows up as a limit of integration. With a different value of x, you get a different value for F(x). The variable of integration, as I wrote the equation above, and as this theorem almost always appears in textbooks, is t, a so-called dummy variable. Instead of f(t) dt, you could write f(r) dr, f(v) dv, whatever.

For the function in the integrand of your problem, the domain is all real numbers. The interval of integration, which isn't the same as the domain of a function, is the interval [a, x], which could be an interval on the t-axis.
Karol said:
But i couldn't separate between the limit of integration and the variable, as you did in the chain rule, if they were one, so that's the reason? i guess not only.
$$F'(x) = \frac d {du} \int_a^u \cos(t^2)~dt \cdot \frac{du}{dx}=2\cos(t^2)$$
No, not quite. You should end up with ##2\cos(u^2)##, but what is u? I wrote it down earlier.
 
Karol said:
I don't understand why to use x and t, and not only x. the graph is in the xy plane, and the domain is on the x axis.
But i couldn't separate between the limit of integration and the variable, as you did in the chain rule, if they were one, so that's the reason? i guess not only.
$$F'(x) = \frac d {du} \int_a^u \cos(t^2)~dt \cdot \frac{du}{dx}=2\cos(t^2)$$

You cannot have the same x changing and not changing in the same problem at the same time! In the integration ##\int f(x) \, dx##, ##x## is changing---go back and review the definition of the integral to see exactly how. In the integration ##\int_0^x f(t) \, dt##, ##x## is not changing (but ##t## is).
 
Thank you Mark44 and Ray
 

Similar threads

  • · Replies 15 ·
Replies
15
Views
2K
  • · Replies 11 ·
Replies
11
Views
2K
  • · Replies 23 ·
Replies
23
Views
3K
  • · Replies 6 ·
Replies
6
Views
2K
  • · Replies 7 ·
Replies
7
Views
3K
Replies
2
Views
2K
  • · Replies 6 ·
Replies
6
Views
2K
Replies
26
Views
4K
Replies
16
Views
2K
  • · Replies 1 ·
Replies
1
Views
2K