How long will it take for an object to stop with a defined force over time?

Click For Summary

Homework Help Overview

The discussion revolves around determining the time it takes for an object to stop under a defined force that varies with time, specifically described by the equation F=A-Bt. The parameters include initial velocity, mass, and the functional form of force.

Discussion Character

  • Exploratory, Conceptual clarification, Mathematical reasoning, Problem interpretation

Approaches and Questions Raised

  • Participants explore the relationship between force, mass, and acceleration, with some suggesting the use of integrals to find velocity. Questions arise about the condition for stopping and the implications of the area under the acceleration vs. time graph.

Discussion Status

Participants are actively engaging with the problem, raising questions about the application of quadratic equations and discussing the implications of different roots. There is an ongoing exploration of how to approach the integral and the conditions for stopping.

Contextual Notes

Some participants note potential issues with dimensional consistency in their equations, and there is a mention of homework constraints that may limit the exploration of certain methods.

Samwell
Messages
7
Reaction score
0
Homework Statement
How long it will take to stop the object?
Relevant Equations
v=∫F/m dt + v0
s=∫v dt + s0
Hello, I have the force defined as a function of time, where F=A-Bt and A=100N, B=100Ns-1. I have to determine, how long it will take for object to stop, if t0=0s and v0=0,2ms-1 and mass of the object is m=10kg. Can somebody please help me with this, because I'm having hard time with this task.
 
Physics news on Phys.org
Hi Samwell. Welcome to PF!

What have you done so far? Have you tried plotting acceleration as a function of time? What would the area under such a graph represent? How is that related to solving your problem?

AM
 
  • Like
Likes   Reactions: Samwell
Hello, no, I have tried to solve the integral for velocity, but I wasn't successful. So when I know that F=ma and therefore a=F/m, I can solve the acceleration, but I'm not sure what should be the next.

Thank you.
 
Ok. So what is the condition for stopping (in terms of your equation for v)? What does that tell you about what the area under the graph of acceleration vs. time (the integral) has to be equal to?

Hint: To solve the integral, after substituting for F, break it up into the sum of two integrals.

AM
 
  • Like
Likes   Reactions: Samwell
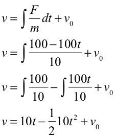
So acceleration has to be negative and grow. But I still have no clue how to get that time from it.
243320

Am I right with that?
 
Samwell said:
So acceleration has to be negative and grow. But I still have no clue how to get that time from it. View attachment 243320
Am I right with that?

Yes. That's right so far. (As as aside, note that by plugging in the numbers you have technically lost sight of the units, so you have a dimensionally unbalanced equation. Perhaps not worry too much about that.)
 
But I still don't know how can I determine that time from my task.
 
Samwell said:
But I still don't know how can I determine that time from my task.

Have you ever heard of a thing called a quadratic equation?
 
Yes, but I don't know how to apply this for that problem.
 
  • #10
Samwell said:
Yes, but I don't know how to apply this for that problem.

It's difficult to see the problem. Normally with a quadratic equation the approach is to solve it. Quadratic formula? Completing the square?
 
  • Like
Likes   Reactions: Samwell
  • #11
Okay, I've done it thank you very much. Just wondering which root I have to choose (actually I know which one because I have the result but I probably wouldn't if I didn't have). Can you please shortly explain why it has to be the second one in this case.
 
  • #12
Samwell said:
Okay, I've done it thank you very much. Just wondering which root I have to choose (actually I know which one because I have the result but I probably wouldn't if I didn't have). Can you please shortly explain why it has to be the second one in this case.

One root is for a time earlier than ##t_0##.
 
  • Like
Likes   Reactions: Samwell
  • #13
Ok, thank you very much.
 

Similar threads

  • · Replies 12 ·
Replies
12
Views
16K
  • · Replies 10 ·
Replies
10
Views
2K
  • · Replies 4 ·
Replies
4
Views
2K
  • · Replies 25 ·
Replies
25
Views
2K
  • · Replies 1 ·
Replies
1
Views
1K
  • · Replies 10 ·
Replies
10
Views
2K
  • · Replies 3 ·
Replies
3
Views
2K
  • · Replies 6 ·
Replies
6
Views
2K
  • · Replies 5 ·
Replies
5
Views
3K
  • · Replies 14 ·
Replies
14
Views
2K