How the power transfers across the Ideal Transformer

  • Thread starter Thread starter tim9000
  • Start date Start date
  • Tags Tags
    Power Transformer
Click For Summary

Discussion Overview

The discussion revolves around the concept of power transfer in an ideal transformer, exploring the relationship between inductance, magnetic flux, and energy transfer. Participants examine theoretical aspects, mathematical formulations, and conceptual clarifications related to transformer operation.

Discussion Character

  • Exploratory
  • Technical explanation
  • Conceptual clarification
  • Debate/contested

Main Points Raised

  • One participant expresses confusion about how power fits into the operation of a transformer, questioning the role of inductance and magnetic energy in power transfer.
  • Another participant suggests that energy in a magnetic field is proportional to the square of the flux and that this energy does not change due to energy flow from primary to secondary.
  • There is a discussion about whether the average energy in the core is related to reactive power and how it behaves under different load conditions on the secondary side.
  • Participants explore the idea that the power transferred across the transformer can be expressed as the product of voltage and current on either side, with some suggesting that this relationship holds true regardless of load conditions.
  • One participant proposes that the inductance sets up a base flux and that additional flux is generated when a load is connected, leading to questions about the interactions between primary and secondary currents and their effects on flux.
  • There is mention of differing perspectives on whether to sum fluxes or magnetomotive forces (MMF) when analyzing transformer behavior.

Areas of Agreement / Disagreement

Participants express varying interpretations of how power transfer occurs in an ideal transformer, with no consensus reached on the exact mechanisms involved. Some agree on certain principles, while others challenge or refine these ideas, indicating ongoing debate.

Contextual Notes

Participants acknowledge the complexity of the topic, with discussions involving assumptions about ideal conditions, the role of mutual inductance, and the mathematical representation of transformer behavior. The conversation reflects a mix of theoretical understanding and practical implications.

Who May Find This Useful

This discussion may be of interest to those studying electrical engineering, particularly in the areas of transformer theory, magnetic circuits, and power systems.

  • #301
jim hardy said:
i guess i was looking at slope of voltage...
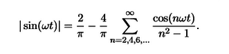
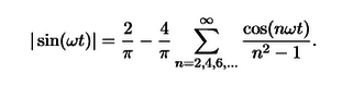
dΦ/dt IS voltage (per turn).
so dΦ/dt also becomes the sum of even harmonics
View attachment 89117

what does that series evaluate to ? I think it'll be less than 1 so dΦ/dt decreases a little ?
E an dΦ/dt are one and the same, scaled by NTurns ?
Ok than there will only be a possitive induced E.
Hmm, well if you differentiate that, the DC flux (2/pi) drops out, I imagine you'd be left with
dΦ/dt = 4/pi * [sin(2wt)/(w*2*(22-1)) + sin(4wt)/(w*4*(42-1)) + ...]
Is that what you had in mind? How's my maths?
So since inductance depends on dΦ/di what does this rectified supply dΦ/dt mean for the inductance?P.S
Was my understanding in #296 correct: "Is that simply to say as the Reluctance of the core DECREASES then the Xm and Rc will BOTH INCREASE?"Thanks again Jim
 
Engineering news on Phys.org
  • #302
jim hardy said:
Sure does ! How'd i miss that ?

i guess i was looking at slope of voltage...
dΦ/dt IS voltage (per turn).
so dΦ/dt also becomes the sum of even harmonics
View attachment 89117

what does that series evaluate to ? I think it'll be less than 1 so dΦ/dt decreases a little ?E an dΦ/dt are one and the same, scaled by NTurns ?
Hmm, well if you differentiate that, the DC flux (2/pi) drops out, I imagine you'd be left with
dΦ/dt = 4/pi * [sin(2wt)/(w*2*(22-1)) + sin(4wt)/(w*4*(42-1)) + ...]
Is that what you had in mind? How's my maths?
So since inductance depends on dΦ/di what does this rectified supply dΦ/dt mean for the inductance?P.S
Was my understanding in #296 correct: "Is that simply to say as the Reluctance of the core DECREASES then the Xm and Rc will BOTH INCREASE?"
Also that hyperthetical in #289, if you were designing an inductor to run as a current, 'wouldn't it then be advantagious to run at mu max?'

Thanks again Jim
 
  • #303
tim9000 said:
so for instane in the equation E = NdΦ/dt
what implications does this positive only (due to rectification) have on E?

Full wave rectification is equivalent to taking absolute value, as in that snip
upload_2015-9-21_23-40-16-png.89117.png

rectify sin(wt) and you get abs(sin(wt) , the two vertical lines (ascii character 7C ? html &#124 ?) meaning absolute value ...

tim9000 said:
Ok than there will only be a possitive induced E.

hmm i guess that's so - voltage applied never goes negative so neither can counter-EMF.
Once again we're at that line where ideal and real world things behave differently
but yes,
applying a wave with DC component to an ideal inductor will give ever increasing current and flux, ie slope term includes a constant,
and that expression in the snip for E (and for dΦ/dt) includes a constant 2/pi .
So, flux is the integral of the snip.


tim9000 said:
Hmm, well if you differentiate that, the DC flux (2/pi) drops out, I imagine you'd be left with
dΦ/dt = 4/pi * [sin(2wt)/(w*2*(22-1)) + sin(4wt)/(w*4*(42-1)) + ...]
Is that what you had in mind? How's my maths?

that term for flux is ALREADY differentiated - Faraday says E = - N dΦ/dt

so i don't understand why you differentiated it.
But it looks like you integrated the summation terms , anyhow? D(sinwt)= wcoswt not coswt/w
had you integrated the 4/pi instead of differentiating it you'd have got the term for ever increasing flux.
tim9000 said:
So since inductance depends on dΦ/di what does this rectified supply dΦ/dt mean for the inductance?

back to basics.. Inductance is flux linkages per amp, L = NΦ/I
so how does inductance depend on dΦ/di ?
Φ = I * L/N
dΦ = dI * L/N
Neither L nor N is a function of I
so dΦ/dI = constant

An inductor will show twice the reactance at twice frequency and so forth,
so its impedance to a rectified wave will be different from its impedance to a not-rectified wave
but it should soon saturate because of the DC term.

I hope i read your questions right.
 
  • Like
Likes   Reactions: tim9000
  • #304
tim9000 said:
P.S
Was my understanding in #296 correct: "Is that simply to say as the Reluctance of the core DECREASES then the Xm and Rc will BOTH INCREASE?"
I agree with that statement. Losses get smaller. Look at the exponents in that NASA paper, and old Streinmetz...Also that hyperthetical in #289, if you were designing an inductor to run as a current, 'wouldn't it then be advantagious to run at mu max?'
Hmm advantageous how? Trade off is between core mass, amount of copper, to achieve desired inductance and losses?
 
  • #305
jim hardy said:
Hmm advantageous how? Trade off is between core mass, amount of copper, to achieve desired inductance and losses?
Well if there's a current running through it, there has to be some flux, so presumably it isn't right down the end of the BH curve. So wouldn't you be getting more inductance out of the copper and steel? But at higher core losses? So say you're getting the current you want through your inductor, and you're pretty far down the BH curve, close to B = 0, then couldn't you take some of the steel out, reducing the cross sectional area, increasing B, up the point where RMS B the operating point, is at maximum permeability, the maximum gradient of the BH curve. Then have you not made a saving on steel by removing some, but also the inductance has stayed the same because the drop in Area has been met with an increase in permeability? [this is an important point for me and I want to extrapolate on depending on what you say]

jim hardy said:
I hope i read your questions right.
Yeah that was a pretty good reply...actually that was a really good reply, thanks. So my supply is abs[sin(wt)] but I should have integrated it rather than differentiated (sorry I hadn't had much sleep), so the DC would still be present and would be a slope gradient. So it's not a good idea to run a mag amp rectified for a long period of time? Otherwise it will self saturate due to the DC presents, unless you're injecting a counter DC offset?

jim hardy said:
so dΦ/dI = constant
I did not realize that, so the distinction is that the inductance isn't changing due to rectification, the reactance is, because the effective frequency is the sum of the even harmonics? (which is higher than an AC exictation)

Correct?
 
  • #306
tim9000 said:
so the distinction is that the inductance isn't changing due to rectification, the reactance is, because the effective frequency is the sum of the even harmonics? (which is higher than an AC exictation)

Correct? I agree.

tim9000 said:
So it's not a good idea to run a mag amp rectified for a long period of time? Otherwise it will self saturate due to the DC presents, unless you're injecting a counter DC offset?
Back to basics...
DC applied to ANY inductor(of finite value) will cause current to rise until IR drop in the wire limits current.
In a magamp that's okay because once it saturates, the load sets the current. That's how self-saturating magamps work, and recall as we mentioned pages ago the DC in control winding offsets the DC component of rectified Vsupply.

What should NOT be handed a rectified wave is a transformer or inductor that you do not intend to saturate.
tim9000 said:
Well if there's a current running through it, there has to be some flux, so presumably it isn't right down the end of the BH curve. So wouldn't you be getting more inductance out of the copper and steel? But at higher core losses? So say you're getting the current you want through your inductor, and you're pretty far down the BH curve, close to B = 0, then couldn't you take some of the steel out, reducing the cross sectional area, increasing B, up the point where RMS B the operating point, is at maximum permeability, the maximum gradient of the BH curve.
Certainly, you could do that.
Then have you not made a saving on steel by removing some, yes you have
but also the inductance has stayed the same because the drop in Area has been met with an increase in permeability?

Does % increase in μ equal % decrease in area?
Lbefore= μbefore μ0 N2 Area before / Length

Lafter = μafter μ0 N2 Area after / Length

Equate those two

μbefore μ0 N2 Area before / Length = μafter μ0 N2 Area after / Length

divide out common factorsμbefore Area before = μafter Area after
means that
μbefore / μafter = Area after / Area before
so you'd decrease area by same proportion as permeability increased.
If you know permeability precisely enough to hit that mark, your proposition could work.
But i think your core loss will be higher.

You had some curves of inductance versus excitation way back there, which ought to be same shape as permeability versus B ?

upload_2015-9-23_10-52-23.png


[this is an important point for me and I want to extrapolate on depending on what you say]

test those extrapolations by good thought experiment...
 
  • #307
Thanks for the reply! I suppose this is a three part post:
jim hardy said:
test those extrapolations by good thought experiment...
Actually I DID try that thought experiment (changing Area only) already, and it seemed to me that when I changed the area, the permeability responeded in proportion and inversely. So Did I do it right, does permeability and area ballance out to maintain the same inductance?
Because a mag amp is only interesting in the area of BH curve from max permeability and higher B values, isn't it?
Because there's no inductance/reactance you can get below max permeability that you can't get at some point from max permeability and upwards...to infinity H.

But when I Increased turns number only, I saw a decrease in the amount of flux in the core linearly due to V.s/N, so the permeability will linearly drop down from mu max to mu initial but the inductance will increase exponentially because propotional to N^2.
I think it hit initial permeability and sat there as I kept increasing turns.

Also, if I have a resistance for 200 turns, should I expect the resistance for 840 turns (assuming its the same wire) to be 'the resistance'*(840/200) ??

Thanks mate
 
  • #308
In addidtion to my last post. Also another couple of things,
-so when you take some steel out, the core loss propably goes up, does the copper loss change?

-I just want to Iron this out: so specifically Mr Steiner's Amp, did it saturate BECAUSE of the DC component from rectification, or was that just a helpful coincidence that there was another DC component?

-And what would I type into google to find this:
jim hardy said:
upload_2015-9-21_23-40-16-png.89117.png
Was it from Fourier? Or something else

Cheers
 
  • #309
tim9000 said:
Actually I DID try that thought experiment (changing Area only) already, and it seemed to me that when I changed the area, the permeability responeded in proportion and inversely. So Did I do it right, does permeability and area ballance out to maintain the same inductance?
Well i dont' know. You didn't show your work. Can you put numbers on it ?

tim9000 said:
Because a mag amp is only interesting in the area of BH curve from max permeability and higher B values, isn't it? Because there's no inductance/reactance you can get below max permeability that you can't get at some point from max permeability and upwards...to infinity H.
You have some thought in mind that i just don't see.
Sure, if you're on the cusp of some curve looking out, it's downhill both ways.

tim9000 said:
But when I Increased turns number only, I saw a decrease in the amount of flux in the core linearly due to V.s/N, so the permeability will linearly drop down from mu max to mu initial but the inductance will increase exponentially because propotional to N^2.
I think it hit initial permeability and sat there as I kept increasing turns.
okay. Did you plot that ?

tim9000 said:
Also, if I have a resistance for 200 turns, should I expect the resistance for 840 turns (assuming its the same wire) to be 'the resistance'*(840/200) ??
of course provided you don't look at too many significant digits. As the coil gets fatter (more layers) .each turn must be longer to encircle the larger coil diameter.
 
  • #310
tim9000 said:
In addidtion to my last post. Also another couple of things,
-so when you take some steel out, the core loss propably goes up, does the copper loss change?

Core loss per pound goes up but pounds of core went down... What's exponent of B in loss term ?

tim9000 said:
-I just want to Iron this out: so specifically Mr Steiner's Amp, did it saturate BECAUSE of the DC component from rectification, or was that just a helpful coincidence that there was another DC component?
without something to prevent it, saturation will follow from application of rectified AC.

I'll look for that i think i searched on Fourier rectified
 
  • #312
jim hardy said:
Well i dont' know. You didn't show your work. Can you put numbers on it ?You have some thought in mind that i just don't see.
Sure, if you're on the cusp of some curve looking out, it's downhill both ways.okay. Did you plot that ?

What I specifically mean by that is modulating the 'change in flux' is the most important propety of the core of a saturatable reactor, and we can get any value of dΦ/dt from max permeability upward (obviously with a TX you actually want larger B because the TX equation voltage is a function of B)

I was hoping you wouldn't ask about the data, I'll see if I can find it, it was a bit 'wishy washy' because it was a thought experiment, if I can't find it I'll knock up a similar graph...
Ok I found the turns one, the data was taken from the 840 curve, I took area to be as A = 1, the horizontal axis is turns number and the vertical is the interpolated mu:
for jim.PNG

You can see the inductance in this one goes only up

I'll make a changing Area one, now for you.

EDIT:
Ok this is embarrassing/strange:
on re-calculation it seems that as the area increases although the permeability does drop, it is well outweighed by the increase in area:
for jim.PNG


So I must have been wrong before?
So if you increase area by ANY AMOUNT the inductane will go up, regardless?

Is this what you reckon? Seems weird to me because
permeability is B/H
and B = Flux / A
and so L is proportional to A * (Flux / A.H)
you'd think the A would cancel out and L would just be a function of flux and H...
I suppose last time I didn't consider H changing too?? And I suppose it should?
 
Last edited:
  • #313
jim hardy said:
Core loss per pound goes up but pounds of core went down... What's exponent of B in loss term ?
Sorry what do you mean the 'exponent of B in loss term'? I don't understand what youre asking, sorry.

Also, did you mention the change in copper loss?

jim hardy said:
without something to prevent it, saturation will follow from application of rectified AC.
I'll look for that i think i searched on Fourier rectified
But what I'm asking is, is THAT the actual mechanism by which Steiner designed his Amp to operate, the operation principal of the amplification: it is the force that pushes it the flux down, and allows him to bring it back up again, restorting dΦ/dt to block the current off?
 
  • #315
tim9000 said:
Ok I found the turns one, the data was taken from the 840 curve, I took area to be as A = 1, the horizontal axis is turns number and the vertical is the interpolated mu:
for-jim-png.89250.png

You can see the inductance in this one goes only up

hmmm and mu went down
tim9000 said:
So if you increase area by ANY AMOUNT the inductane will go up, regardless?
Tim that's what i expect because i just don't see very much change in slope of BH curve ubtil you approach the knee.
But I've always just thought it was so and never investigated it like you have. You are in a position to assert based on your work.

tim9000 said:
Is this what you reckon? Seems weird to me because
permeability is B/H
and B = Flux / A
and so L is proportional to A * (Flux / A.H)
you'd think the A would cancel out and L would just be a function of flux and H...
I suppose last time I didn't consider H changing too?? And I suppose it should?
H is amp-turns per meter, and for some reason they call it amps per meter , i suppose because physiciists might imagine it as flowing in a sheet instead of individual discrete wires..

So sure, H is proportional to amp-turns so if you have just one solitary amp but double the turns you've doubled H.

Remember definition of Inductance, it's so beautiful and solves so many problems
flux linkages per ampere , linkages means product of turns and the flux they encircle, Turns X Webers
L = NΦ / I
multiply numerator and denominator both by N
L = N2Φ/ NI

H = NI/Length
so L = N2Φ Length/ H
it's got a length term but not an area one. Length term comes from H, amps/meter if current is a sheet, amp-turns per meter if it's divided up among discrete wires(all in series for a traditional coil).

though i never thought of doing that manipulation.
 
  • #316
sorry for format , computer going flooey again , highlight and reply has quit working.

jim hardy said:
Core loss per pound goes up but pounds of core went down... What's exponent of B in loss term ?
Tim said

Sorry what do you mean the 'exponent of B in loss term'? I don't understand what youre asking, sorry.
The question was
in 308 "-so when you take some steel out, the core loss propably goes up, does the copper loss change?"
and my answer was " At higher B, because flux is same but area is smaller, let's think about core losses.
Steinmetz expressed them in Watts per Pound.
So if you remove 10% of your iron by reducing ts area to 0.9, you have increased B by ratio 1/0.9 = 1.11111 .
So watts per pound went up but how much ?
If in direct proportion to B, ie by 1/0.9 it's a wash, 1.111... watts per pound X 1/1.111... pounds = 1 . Core loss is unchanged.
But i remember seeing core loss in proportion to B1.4 or something.
So probably yes , core loss went up because (1/0.9)1.4 = 1.159X more per pound X 0.9 = 1..04
4% more core loss?

Also, did you mention the change in copper loss?
I remember intending to but did i ? I sure don't know !.
Copper loss remains I2R , your turns can be shorter by however much you reduce the circumference of the core, roughly √Δdiameter. So R decreases a little. Magnetizing current goes up a little so I^2 does too. But these effects are small... try some numbers.


jim hardy said:
without something to prevent it, saturation will follow from application of rectified AC.
I'll look for that i think i searched on Fourier rectified

Tim said

But what I'm asking is, is THAT the actual mechanism by which Steiner designed his Amp to operate, the operation principal of the amplification: it is the force that pushes it the flux down, and allows him to bring it back up again, restorting dΦ/dt to block the current off?

it is the force that pushes it the flux down, and allows him to bring it back up again,
those words confuse me.

It's a balance between applied rectified supply voltage trying to drive the core into saturation
and control current trying to keep it from saturating.
UP and DOWN is relative, just directions on a graph.
Remember this one from 202?

volt_secsine-jpg.87781.jpg

Flux started from zero and applied voltage was sufficient volt-seconds to saturate .

Remember , rectified supply's volt-seconds drove flux UP on this graph.

If a control winding had applied bias so we started from nonzero negative flux, well below zero, flux would not have got to saturation point.
 
  • #317
jim hardy said:
hmmm and mu went down
That's what I would expect going by this:
220px-Permeability_of_ferromagnet_by_Zureks.svg.png

Because From memory, the starting B I used was the B corresponeing to The maximum permeability calculated from the data. Then the subsequent values of B was calculated from the increase in area, then the Corresponding H for that B was interpolated from the data.
jim hardy said:
Tim that's what i expect because i just don't see very much change in slope of BH curve ubtil you approach the knee.
But I've always just thought it was so and never investigated it like you have. You are in a position to assert based on your work.
I've made the best assessment I from the data I can, but I'm not a brilliant scientist, so I'll take a second opinion wherever I can get one. I suppose what I'd be looking for would be a rule-of-thumb something like that the negative slope or gradient of the permeability from maximum permeability down to initial permeability in a ferris metal won't exceed the positive slope or gradient of cross sectional area increase. I can't get my head around how I could graph or measure the two slopes fungibly to make the comparison, do you have any suggestions? I am glad to hear that you've always 'thought' it was so.

Your maths here seems to substantiate my inital thought (which was contrary to my revised plotting of mu*A) that Area had no bearing on inductance:
jim hardy said:
Remember definition of Inductance, it's so beautiful and solves so many problems
flux linkages per ampere , linkages means product of turns and the flux they encircle, Turns X Webers
L = NΦ / I
multiply numerator and denominator both by N
L = N2Φ/ NI

H = NI/Length
so L = N2Φ Length/ H
[very useful tip btw] So I was correct the first time, when I thought that H wouldn't change, that is to say, yesterday when I re-did the graph and I re-interpolated H for the decreased values of B, there was no need to do that?

jim hardy said:
those words confuse me.

It's a balance between applied rectified supply voltage trying to drive the core into saturation
When I asked is the DC component the force/mechanism which Steiner's Amp works by, what I mean is:
[oh I got our defined convention wrong, so the rectified AC supply excitation, which drove it into saturation was UP, not Down, ok sorry about the confusion] so keeping in mind the control DC moves the flux back down below zero, so the flux can swing fully up and down the linear region to block the current. 'Would Steiner's Amp have worked if there was no DC component present in the rectified AC supply? that is to say, the dc component is a happy coincidence in the operation of the design?'

Thanks Jim!
 
  • #318
Whew - at first glance that seems full of contradictions

i'm going to nail up some more siding while i think on it..

tim9000 said:
Your maths here seems to substantiate my inital thought (which was contrary to my revised plotting of mu*A) that Area had no bearing on inductance:

basics... L = NΦ/I ... is Φ a function f area ?
 
  • Like
Likes   Reactions: dlgoff
  • #319
jim hardy said:
i'm going to nail up some more siding while i think on it..

basics... L = NΦ/I ... is Φ a function f area ?
Well H is dependent on N and I and length, so say I've got a coil around a core and we're at a point on the curve where B and H are sitting there, say somewhere at the top of the linear region. Then I add some more lamina in there to increase the Area, well B will drop, will H drop too?
If not, then my revised data in the Edit of post # 312 was wrong, which is what I was talking about in post #317. Because in post #312 I recalculated H for a decreased B and consequently A increased faster than permeability dropped, so the inductance increased. But if H isn't recalculated because it doesn't drop when Area is increased, then the inductance probably stays the same (which is what I think I got the very first time, data not shown for).

I look forward to when you get back.
 
  • #320
got front of house done up to top of windows.

Still haven't parsed 317 yet

so as to 319

tim9000 said:
Well H is dependent on N and I and length, so say I've got a coil around a core and we're at a point on the curve where B and H are sitting there, say somewhere at the top of the linear region. Then I add some more lamina in there to increase the Area, well B will drop, will H drop too?

IGNORE REST OF THIS POST
I was thinking DC and you obviously meant AC

OOPS.jpg
 
Last edited:
  • #321
jim hardy said:
i don't agree.
H is amp-turns, or amp-turns per length, and you changed neither amps nor turns nor length.
You've added a parallel path for flux through those new lamina,
and it's subjected to same MMF as your initial lamina,
just like placing two resistors in parallel across a source of EMF,
so flux will flow in those new lamina
meaning flux (Webers) will rise
and B will remain constant because H and μ did .

check my logic in case i might've misunderstood you.
I'm listening, but if the V.s/N is fixed, than how can the flux increase, isn't it like it's limited to be V.s/N?
 
  • #322
BELAY THAT POST I was thinking DC and of course you're thinking AC

i realized that while atop the ladder

going back now to fix that post

SORRY old jim
 
  • #323
jim hardy said:
BELAY THAT POST I was thinking DC and of course you're thinking AC

i realized that while atop the ladder

going back now to fix that post

SORRY old jim
lol, ok, but which post am I BELAYing? And what ramifications does it have?
 
  • #324
tim9000 said:
lol, ok, but which post am I BELAYing? And what ramifications does it have?

This one, 320

oops-jpg.89374.jpg


Starting over,
tim9000 said:
Well H is dependent on N and I and length, so say I've got a coil around a core and we're at a point on the curve where B and H are sitting there, say somewhere at the top of the linear region. Then I add some more lamina in there to increase the Area, well B will drop, will H drop too?

You postulate a core excited by AC to some level of RMS volts per turn which is same as some level of RMS Φ
and that's how i like to think of it.
Such a device is handy to have around one's workbench - i once owned one big enough for 2 volts/turn at 60hz...

You are exactly right . Adding lamina will reduce flux density B. because your applied volts per turn defines total Φ , and that same Φ gets spread over a larger core area. Φ/Area = B and more Area for same Φ = less B.

That's the stepwise thinking that you presented and i misinterpreted.

Will H drop too?
Well , it should because the larger core is easier to magnetize now. You don't have to push it so far out the BH curve.
flux = amp-turns/reluctance X μ, reluctance went down when area went up. Change in μ is i believe insignificant
look at slope of BH curve below the knee
if anything slope is higher at lower flux
TimsBHouter30Vcropped.jpg


I apologize for the confusion

your thinking was straight
keep up the good work

amp-turns to produce same flux decreased,
length of core didn't change,
so amp-turns per meter H decreased.

Stepwise thinking. Sometimes the dyslexic faction among my 'little grey cells' takes a sideways step, though.
 
  • #325
jim hardy said:
keep up the good work
No need to apologise, infact you started off correcting me let's not forget: so the take away from this is that my initial revision graphed in the bottom of #312 "So I must have been wrong before?
So if you increase area by ANY AMOUNT the inductane will go up, regardless?" was probably correct?
I believe the permeability was similar the the shape in the artists impression in #317, from wikipedia. So:
tim9000 said:
I suppose what I'd be looking for would be a rule-of-thumb something like that the negative slope or gradient of the permeability from maximum permeability down to initial permeability in a ferris metal won't exceed the positive slope or gradient of cross sectional area increase.
Could that be true?

Also on a separate note:
tim9000 said:
But what I'm asking is, is THAT the actual mechanism by which Steiner designed his Amp to operate, the operation principal of the amplification: it is the force that pushes it the flux down, and allows him to bring it back up again, restorting dΦ/dt to block the current off?
I then attempted to clarify with:
tim9000 said:
When I asked is the DC component the force/mechanism which Steiner's Amp works by, what I mean is:
[oh I got our defined convention wrong, so the rectified AC supply excitation, which drove it into saturation was UP, not Down, ok sorry about the confusion] so keeping in mind the control DC moves the flux back down below zero, so the flux can swing fully up and down the linear region to block the current. 'Would Steiner's Amp have worked if there was no DC component present in the rectified AC supply? that is to say, the dc component is a happy coincidence in the operation of the design?'
What about this point?

Ok, I think two thought is enough for this post, I'll post another below.
Thanks Jim!
 
  • #326
But this re-begs a previous question of mine, which is will the AC RMS B modify where my RMS B point is, or will it theoretically cancel out leaving RMS B to simply be the B from the control winding? What do you think?
And also the notion of inductive energy as E = 0.5*LI2
how will the DC current effect the total Energy of the reactor? Because the inductance L is seen by the AC circuit, but they're sharing a core, hence there is a contribution of DC energy in the total inductance. Say I could measure E, then to find L seen by the AC circuit, I assume I'll need to subtract the DC energy out, rearrange something like:
E = 0.5* [LacIac2 + LdcIdc2]
 
  • #327
from 317
tim9000 said:
I suppose what I'd be looking for would be a rule-of-thumb something like that the negative slope or gradient of the permeability from maximum permeability down to initial permeability in a ferris metal won't exceed the positive slope or gradient of cross sectional area increase. I can't get my head around how I could graph or measure the two slopes fungibly to make the comparison, do you have any suggestions?

hmmmm you know how primitive i am at arithmetic.
could one assume constant flux ?
area is controlled variable, so you know its slope
slope of BH curve is measured /observed, plot Δslope ?

that old graph i put up in 324
the iron does not know whether you decreased flux or increased area
so i suggest your data has the answer already ?
 
  • #328
back to my ladder...

kudos to you . Y'er doing good !
 
  • #329
EDIT: [
jim hardy said:
back to my ladder...

kudos to you . Y'er doing good !
When I saw the notificaion I thought 'gee he replied to #326 quick'. Ah, ok, that'll buy me some time to think about your last post.] end of edit

jim hardy said:
hmmmm you know how primitive i am at arithmetic.
could one assume constant flux ?
area is controlled variable, so you know its slope
slope of BH curve is measured /observed, plot Δslope ?
Yeah say flux is the same.

jim hardy said:
that old graph i put up in 324
the iron does not know whether you decreased flux or increased area
so i suggest your data has the answer already ?

Wait, but the two slopes I need to compare would be permeability and the other would be area wouldn't it, what's the connection to the BH curve you're talking about?

Edit2: the increase or decrease of the inductance is if A*μ is a positive slope, but graphed against what?...Area? Because its like 'permeability (is decreasing) Vs. Area, and Area (is increasing) Vs. Area, it's like area is graphed against itself...is it? I hope this highlights my query...also yeah, please don't miss #326.
 
Last edited:
  • #330
from 325
tim9000 said:
No need to apologise, infact you started off correcting me let's not forget: so the take away from this is that my initial revision graphed in the bottom of #312 "So I must have been wrong before? So if you increase area by ANY AMOUNT the inductane will go up, regardless?" was probably correct?
I agree with you now. I believe that is the case.
If you have just one solitary turn encircling nothing but free space ,
a current through it will produce some fluxΦ so it'll have inductance L = Φ/I (one turn, so N = 1)

and if you increase the area it seems intuitive it'll produce more flux , moreΦ
so its inductance will have increased to L = moreΦ/I

How much more ?

check this snip from

http://www.thompsonrd.com/induct2.pdf

oneturn.jpg


so inductance of a core-less inductor will increase
for a single turn according to Thompson in proportion to the loop's diameter not its area ;
for a solenoid in proportion the area by the equation to which we're so accustomed υ0N2Area/Length

A cored inductor should behave the same unless there's a big downturn in permeability
and I've not studied diamagnetism enough to know if that's possible.

So i agree with you !
 

Similar threads

  • · Replies 8 ·
Replies
8
Views
3K
Replies
2
Views
2K
Replies
6
Views
4K
Replies
8
Views
2K
Replies
64
Views
8K
  • · Replies 8 ·
Replies
8
Views
3K
  • · Replies 36 ·
2
Replies
36
Views
13K
Replies
7
Views
9K
Replies
10
Views
3K
  • · Replies 10 ·
Replies
10
Views
6K