How to calculate acceleration of blobs in any degree pendulum?

Click For Summary

Discussion Overview

The discussion revolves around the calculation of acceleration for blobs in multi-degree pendulums, specifically focusing on deriving equations of motion using Lagrangian mechanics. Participants explore the formulation of these equations and their transformations, as well as the implications for different configurations of pendulums.

Discussion Character

  • Technical explanation
  • Mathematical reasoning
  • Debate/contested

Main Points Raised

  • One participant seeks to establish a method for calculating acceleration in n-fold pendulums but expresses uncertainty about the correctness of their initial equation.
  • Another participant provides a detailed derivation of the Lagrangian for a 2D n-fold pendulum, including expressions for position and velocity, and outlines the process for obtaining equations of motion.
  • A third participant references a source and presents a transformed equation, asking for validation of their approach.
  • Another participant suggests verifying the derived equations for a simple pendulum case (n=1) and encourages checking the results for a two-pendulum system (n=2) based on the referenced paper.

Areas of Agreement / Disagreement

Participants have not reached a consensus, as there are multiple approaches and transformations discussed, with some expressing uncertainty about the correctness of their methods and results.

Contextual Notes

The discussion includes complex mathematical expressions and transformations that may depend on specific assumptions or definitions not fully explored in the posts. There are unresolved steps in the derivations that could affect the outcomes.

Rafums
Messages
2
Reaction score
0
I want to create a method to calculate acceleration of blobs in any degree pendulum (double, triple and more). I have this equation but I am not sure if it is correct, or how to extract acceleration from it.

unknown.png


[Mentor Note -- this is a new thread start to correct errors in the previous 2 thread starts]
 
Last edited by a moderator:
Physics news on Phys.org
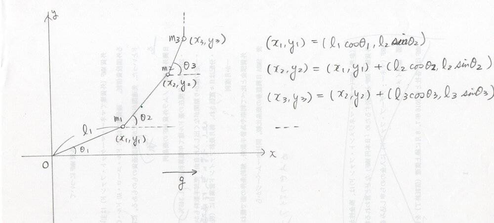
In the configuration as attached sketch for 2D n-fold pendulum shows
[tex](x_0,y_0)=(0,0)[/tex]
[tex](x_i,y_i)=(x_{i-1},y_{1-1})+(l_i \cos\theta_i, l_i \sin\theta_i)=(\sum_{j=1}^i l_j\cos\theta_j, \sum_{j=1}^i l_j\sin\theta_j)[/tex]
[tex](\dot{x_i},\dot{y_i})=(\sum_{j=1}^i l_j (-\sin\theta_j) \dot{\theta_j}, \sum_{j=1}^i l_j\cos\theta_j \dot{\theta_j})[/tex]

Lagrangean of the system is
[tex]L=\sum_{i=1}^n \frac{m_i}{2}(\dot{x_i}^2+\dot{y_i}^2)+g\sum_{i=1}^n m_i x_i[/tex]
with gravity force applying to x positive direction. Express L as ##L(\theta_1, \theta_2,...,\theta_n, \dot{\theta_1}, \dot{\theta_2}, ... , \dot{\theta_n})##

[tex]L=\sum_{i=1}^n \frac{m_i}{2}[\{\sum_{j=1}^i l_j (-\sin\theta_j) \dot{\theta_j}\}^2+\{\sum_{j=1}^i l_j \cos\theta_j\ \dot{\theta_j}\}^2]+g\sum_{i=1}^n m_i \sum_{j=1}^i l_j\cos\theta_j[/tex]

We get equation of motion or Lagrangean equation from this Lagrangean, e.g.

[tex]\frac{d}{dt}\frac{\partial L}{\partial \dot{\theta_k}}=\frac{d}{dt}\sum_{i=k}^n m_i[\{\sum_{j=k}^i l_j (-\sin\theta_j) \dot{\theta_j}\}l_k (-\sin\theta_k)+\{\sum_{j=k}^i l_j \cos\theta_j\ \dot{\theta_j}\}l_k \cos\theta_k][/tex]
[tex]=\sum_{i=k}^n m_i[\{\sum_{j=k}^i l_j (-\cos\theta_j) \dot{\theta_j}^2\}l_k (-\sin\theta_k)+\{\sum_{j=k}^i l_j (-\sin\theta_j\ \dot{\theta_j}^2\}l_k \cos\theta_k][/tex]
[tex]+\sum_{i=k}^n m_i[\{\sum_{j=k}^i l_j (-\sin\theta_j) \ddot{\theta_j}\}l_k (-\sin\theta_k)+\{\sum_{j=k}^i l_j \cos\theta_j\ \ddot{\theta_j}\}l_k \cos\theta_k][/tex]
[tex]+\sum_{i=k}^n m_i[\{\sum_{j=k}^i l_j (-\sin\theta_j) \dot{\theta_j}\}l_k (-\cos\theta_k)\dot{\theta_k}+\{\sum_{j=k}^i l_j \cos\theta_j\ \dot{\theta_j}\}l_k(- \sin\theta_k) \dot{\theta_k}][/tex]
equals to
[tex]\frac{\partial L}{\partial \theta_k}=\sum_{i=k}^n m_i[\{\sum_{j=k}^i l_j (-\sin\theta_j) \dot{\theta_j}\}l_k (-\cos\theta_k)\dot{\theta_k}+\{\sum_{j=k}^i l_j \cos\theta_j\ \dot{\theta_j}\}l_k (-\sin\theta_k)\dot{\theta_k}]+g\sum_{i=k}^n m_i \ l_k(-\sin\theta_k)[/tex]

So the resulted equation is
[tex]\sum_{i=k}^n m_i[\{\sum_{j=k}^i l_j (-\cos\theta_j) \dot{\theta_j}^2\} (-\sin\theta_k)+\{\sum_{j=k}^i l_j (-\sin\theta_j)\ \dot{\theta_j}^2\} \cos\theta_k<br /> +\{\sum_{j=k}^i l_j (-\sin\theta_j) \ddot{\theta_j}\} (-\sin\theta_k)+\{\sum_{j=k}^i l_j \cos\theta_j\ \ddot{\theta_j}\}\cos\theta_k<br /> -g (-\sin\theta_k) ]=0[/tex]
or
[tex]\sum_{i=k}^n m_i[\ \sum_{j=k}^i l_j \sin(\theta_k-\theta_j) \dot{\theta_j}^2<br /> +\sum_{j=k}^i l_j \cos(\theta_k-\theta_j )\ddot{\theta_j} +g \sin\theta_k\ \ ]=0[/tex]

where k=1,2,...,n. Coefficients of g have trigonometric function though formula OP does not have it.  

These n equations give you formula of ##\ddot{\theta_k}## as functions of ##\theta_i##s and ##\dot{\theta_i}##s, which you are looking for.
 

Attachments

  • img20201225_19091988.jpg
    img20201225_19091988.jpg
    32.8 KB · Views: 166
Last edited:
I found this equation:
Równania _wahadła2 (2).png


It comes from this page: https://www.researchgate.net/publication/336868500_Equations_of_Motion_Formulation_of_a_Pendulum_Containing_N-point_Masses and I transformed them like this:

Równanie _wahadła1.png

Did I do it right?
 
How about checking it for n=1, a simple pendulum.
You should get
[tex]l_1 \ddot{\theta_1}+g \sin\theta_1=0[/tex].

If it's OK proceed to check it for n=2. You should get ##\ddot{\theta_1},\ddot{\theta_2}## as function of ##\theta_1,\theta_2,\dot{\theta_1},\dot{\theta_2}## which is calculated from (19) and (20) of the paper you quote.
 
Last edited:
  • Like
Likes   Reactions: vanhees71

Similar threads

  • · Replies 10 ·
Replies
10
Views
3K
  • · Replies 39 ·
2
Replies
39
Views
6K
  • · Replies 6 ·
Replies
6
Views
3K
  • · Replies 7 ·
Replies
7
Views
2K
  • · Replies 8 ·
Replies
8
Views
3K
  • · Replies 13 ·
Replies
13
Views
3K
  • · Replies 15 ·
Replies
15
Views
2K
  • · Replies 39 ·
2
Replies
39
Views
5K
  • · Replies 10 ·
Replies
10
Views
3K
  • · Replies 9 ·
Replies
9
Views
5K