How to calculate n with its uncertainty in the equation Q= kL(h^n)?

  • Thread starter Thread starter Joon
  • Start date Start date
  • Tags Tags
    Uncertainty
Click For Summary

Discussion Overview

The discussion revolves around calculating the exponent ##n## in the equation Q = kL(h^n) and determining its uncertainty. Participants explore the uncertainties contributing to U(Q) and express confusion regarding the absence of a calculation for ##n## in a referenced example.

Discussion Character

  • Exploratory, Technical explanation, Debate/contested, Homework-related

Main Points Raised

  • Some participants propose summing up all fractional uncertainties contributing to U(Q) but express uncertainty about what those contributors are.
  • Others question the absence of a calculation for ##n## in the example, noting that only a result for ##g## is provided.
  • A participant offers to share additional materials, including an Excel file, to clarify the calculation process.
  • Additional files are mentioned, suggesting further data or examples may be relevant to the discussion.

Areas of Agreement / Disagreement

Participants appear to have differing views on the calculation of ##n## and the contributors to U(Q), indicating that the discussion remains unresolved.

Contextual Notes

Limitations include unclear definitions of contributors to U(Q) and the lack of a clear calculation method for ##n## in the referenced example.

Joon
Messages
85
Reaction score
2
Homework Statement
I was given a flow rate equation Q= kL(h^n), where k is a constant and L (width of rectangular weir) was set to 0.625 ft. A table of experimental Q values and corresponding h' and h values was provided, please refer to the picture attached. h (weir head) in the equation= h in the table. h= h' -0.3290 ft.

There are two variables in the equation, Q and h, and I need to determine the experimental value of n.

An example calculation was provided where the used equation was D=cE^n and I was told to use the same method as the one used in the example calculation. Please refer to the attached files 2-4 for the example calculation.
I get how to calculate the uncertainty of D, but I really have no idea how the uncertainty of E was calculated.
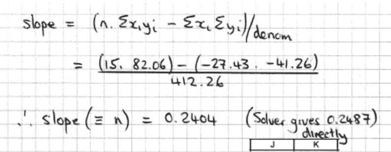
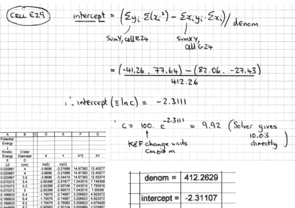
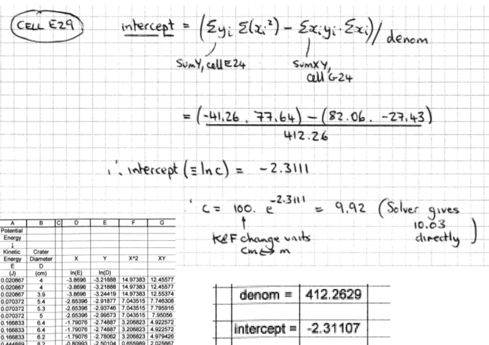
After calculating U(D) and U(E), a plot of ln (D) against ln (E) was drawn to calculate n (the gradient of the graph).

Could someone help me understand this?
Relevant Equations
Q= kL(h^n) for the task

D=cE^n for the example calculation

Hook gauge reading, weir head- vernier scale
Flow rate Q reading- venturi flow meter
I am thinking of doing the same thing (summing up all the uncertainties that contribute to U(E) in the example) for the task, so summing up all the fractional uncertainties that contribute to U(Q). But the problem is unlike energy in the example, I'm not sure what's the contributors that lead to U(Q).
 

Attachments

  • Data given.png
    Data given.png
    5.5 KB · Views: 346
  • Example.png
    Example.png
    126.5 KB · Views: 322
  • U(E) 1.png
    U(E) 1.png
    49.8 KB · Views: 437
  • U(E) 2 and U(D).png
    U(E) 2 and U(D).png
    54.1 KB · Views: 398
Last edited:
Physics news on Phys.org
I must be missing something: in the example I don't see a calculation of ##n## at all, only a (remarkable coincident) result for ##g## ? :confused:
 
The process is a bit complicated, I am uploading everything I have, please have a look.
I'm attaching the excel file as well where the example calculation was done.
 

Attachments

  • Excel file.xlsx
    Excel file.xlsx
    37 KB · Views: 277
  • 1st.png
    1st.png
    111 KB · Views: 332
  • 2nd.png
    2nd.png
    35.3 KB · Views: 310
  • 3rd.png
    3rd.png
    53.6 KB · Views: 334
  • 4th.png
    4th.png
    75.4 KB · Views: 302
2 more files
 

Attachments

  • 5th.png
    5th.png
    89.8 KB · Views: 335
  • 6th.png
    6th.png
    56.6 KB · Views: 295

Similar threads

  • · Replies 0 ·
Replies
0
Views
5K
  • · Replies 4 ·
Replies
4
Views
2K
  • · Replies 20 ·
Replies
20
Views
2K
  • · Replies 3 ·
Replies
3
Views
5K
  • · Replies 2 ·
Replies
2
Views
2K
  • · Replies 9 ·
Replies
9
Views
2K
  • · Replies 3 ·
Replies
3
Views
2K
  • · Replies 1 ·
Replies
1
Views
4K
  • · Replies 1 ·
Replies
1
Views
3K
  • · Replies 0 ·
Replies
0
Views
3K