How to calculate this integral?

  • Thread starter Thread starter athrun200
  • Start date Start date
  • Tags Tags
    Integral
Click For Summary

Homework Help Overview

The discussion revolves around calculating an integral related to electric fields, specifically focusing on the limits of integration and the use of substitution in the context of the problem.

Discussion Character

  • Exploratory, Assumption checking, Problem interpretation

Approaches and Questions Raised

  • Participants discuss the validity of a substitution method and raise questions about the derivative with respect to a variable that is not constant. There are inquiries about how to properly express the limits of integration based on geometric considerations.

Discussion Status

Some participants have provided guidance on determining the limits of integration, suggesting a relationship between the angle and the variable L. However, there is still uncertainty regarding the derivative and the correct expression of the limits.

Contextual Notes

There is a mention of a triangle in the context of the problem, which may influence the interpretation of the limits of integration. The original poster's approach to substitution is under scrutiny, and there are indications of potential misunderstandings regarding the variables involved.

athrun200
Messages
275
Reaction score
0

Homework Statement


attachment.php?attachmentid=37435&stc=1&d=1311346104.jpg



Homework Equations





The Attempt at a Solution


Can I use this substitution?
attachment.php?attachmentid=37436&stc=1&d=1311346104.jpg
 

Attachments

  • 2.jpg
    2.jpg
    8.6 KB · Views: 436
  • 3.jpg
    3.jpg
    16.9 KB · Views: 447
Physics news on Phys.org
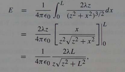
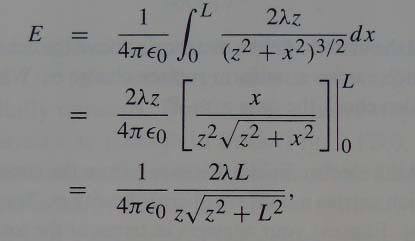
Looks good, what does it come out to?
 
hunt_mat said:
Looks good, what does it come out to?

attachment.php?attachmentid=37439&stc=1&d=1311346670.jpg


I am not sure for 2 things.

1. Since z is not a constant, does the derivative yield dz?
2. How can I write the range properly?
 

Attachments

  • 1.jpg
    1.jpg
    23.5 KB · Views: 468
You're fixing a point z and calculating the electric field there, the limits are easy, you have [itex]L=\tan\theta[/itex] and so the upper limit is [itex]\theta =\tan^{-1}L[/itex], the lower on is just 0.
 
Last edited:
hunt_mat said:
You're fixing a point z and calculating the electric field there, the limits are easy, you have [itex]L=\tan\theta[/itex] and so the upper limit is [itex]\theta \tan^{-1}L[/itex], the lower on is just 0.

Thx!
 
For your limits of integration look at your triangle. (The angle you labeled L is actually θ.) If x = 0, then sin θ = 0 and if x = L, then sin θ = L/√(L2+z2) .
 

Similar threads

  • · Replies 5 ·
Replies
5
Views
2K
Replies
5
Views
1K
  • · Replies 2 ·
Replies
2
Views
1K
Replies
6
Views
1K
  • · Replies 7 ·
Replies
7
Views
2K
  • · Replies 8 ·
Replies
8
Views
2K
Replies
27
Views
4K
Replies
14
Views
2K
  • · Replies 2 ·
Replies
2
Views
2K
  • · Replies 3 ·
Replies
3
Views
2K