How to Derive the Taylor Series for log(x)?

Click For Summary

Discussion Overview

The discussion revolves around deriving the Taylor series for the natural logarithm function, specifically log(x), and clarifying the differences in notation and calculations related to derivatives of logarithmic functions.

Discussion Character

  • Technical explanation
  • Conceptual clarification
  • Homework-related

Main Points Raised

  • One participant seeks help in deriving the Taylor series for log(x) and expresses confusion over the derivative of log(x), questioning the conversion of log(e)/x to 1/In(x)*x.
  • Another participant clarifies that the log function in the context is the natural logarithm, stating that log(e) equals 1.
  • A participant points out a discrepancy in the Taylor series terms, noting that their series includes "x" and "x²" in the denominator, while Example 6 does not.
  • Another participant suggests that the confusion may stem from evaluating derivatives at a point 'a' rather than at 'x', indicating that the derivatives should be evaluated at x = a.
  • One participant mentions that their calculator uses log to refer to base 10 logarithm, while the example refers to the natural logarithm, which is commonly denoted as ln.
  • A later reply indicates that the participant has gained understanding from the discussion and provides a related example with a = 2.

Areas of Agreement / Disagreement

Participants express differing views on the notation of logarithms and the evaluation of derivatives, indicating that there is no consensus on the correct interpretation of the Taylor series terms or the derivative calculations.

Contextual Notes

There are unresolved aspects regarding the assumptions made in the derivative calculations and the specific point at which derivatives are evaluated, which may affect the Taylor series formulation.

PainterGuy
Messages
938
Reaction score
73
Hi,

I was trying to solve the following problem myself but couldn't figure out how the given Taylor series for log(x) is found.

?hash=bd0a599335ca11df42aea03e1955cda2.jpg


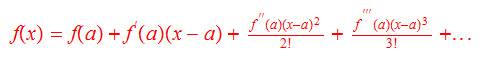
Taylor series for a function f(x) is given as follows.

?hash=bd0a599335ca11df42aea03e1955cda2.jpg


Question 1:
I was trying to find the derivative of log(x).
?hash=fec28be32c6920fd38d0c29f7bb45c83.jpg


My calculator gives it as d{log(x)}/dx=1/In(x)*x.

How do I convert log(e)/x to 1/In(x)*x? Logarithm base change formula isn't working for me. Thank you for your help!
 

Attachments

  • taylor_logx.jpg
    taylor_logx.jpg
    19.5 KB · Views: 2,365
  • taylor_fx.jpg
    taylor_fx.jpg
    4.5 KB · Views: 716
  • derivative_log.jpg
    derivative_log.jpg
    6.8 KB · Views: 742
Last edited:
Physics news on Phys.org
The log function in the example is the natural log, so log(e) = 1.
 
  • Like
Likes   Reactions: PainterGuy
Thank you!

Question 1:
vela said:
The log function in the example is the natural log, so log(e) = 1.

I believe that you are referring to Example 6 shown below.

taylor_logx-jpg.jpg


You can see that the Taylor series in Example 6 doesn't have "x" and "x²" in denominator for the first two terms. But the Taylor series found by me has "x" and "x²" in denominator as shown below. Where am I going wrong?

?hash=9dbb0151b0b8b6721b0e6e6da4430946.jpg
Question 2:

?hash=9dbb0151b0b8b6721b0e6e6da4430946.jpg


Thank you for your help.
 

Attachments

  • taylor_logx1.jpg
    taylor_logx1.jpg
    26.4 KB · Views: 1,209
  • derivative_log1.jpg
    derivative_log1.jpg
    21.5 KB · Views: 742
PainterGuy said:
Thank you!

Question 1:I believe that you are referring to Example 6 shown below.

View attachment 245372

You can see that the Taylor series in Example 6 doesn't have "x" and "x²" in denominator for the first two terms. But the Taylor series found by me has "x" and "x²" in denominator as shown below. Where am I going wrong?

View attachment 245373

I think you've calculated f'(x) = 1/x and f''(x) = -1/x^2, but forgot that these derivatives are evaluated at x = a, and should therefore be 1/a = 1 and -1/a^2 = -1.
 
  • Like
Likes   Reactions: PainterGuy
On your calculator, "log" means ##\log_{10}## whereas in the example "log" means ##\log_e## or what on your calculator is called ##\ln##. It's pretty common in mathematics to dispense with the ##\ln## notation and use ##\log## to refer to the natural logarithm.
 
  • Like
Likes   Reactions: PainterGuy
Thanks a lot!

I understand it now.

The following is a related example with a=2.

?hash=606c3838b1a7170a296b83086b9a1955.jpg


Also:

?hash=606c3838b1a7170a296b83086b9a1955.jpg
 

Attachments

  • related_example.jpg
    related_example.jpg
    31.3 KB · Views: 599
  • LOG_TAYLOR.jpg
    LOG_TAYLOR.jpg
    2.4 KB · Views: 588

Similar threads

  • · Replies 2 ·
Replies
2
Views
2K
  • · Replies 3 ·
Replies
3
Views
3K
  • · Replies 2 ·
Replies
2
Views
2K
  • · Replies 3 ·
Replies
3
Views
3K
  • · Replies 3 ·
Replies
3
Views
2K
  • · Replies 17 ·
Replies
17
Views
4K
  • · Replies 3 ·
Replies
3
Views
3K
  • · Replies 9 ·
Replies
9
Views
3K
  • · Replies 5 ·
Replies
5
Views
2K
  • · Replies 19 ·
Replies
19
Views
4K