How to estimate the performance of a pump using Navier Stokes?

Click For Summary
SUMMARY

The discussion centers on estimating the performance of a pump using the Navier-Stokes equations. Participants reviewed homework attempts and confirmed the approach taken was reasonable, with no major errors identified. Specific feedback included the suggestion to retain the factor of 'l' longer in calculations, although it was deemed unnecessary for the problem's requirements. Overall, the consensus is that the methodology applied aligns well with fluid dynamics principles.

PREREQUISITES
  • Understanding of Navier-Stokes equations
  • Basic principles of fluid dynamics
  • Familiarity with pump performance metrics
  • Experience with problem-solving in fluid mechanics
NEXT STEPS
  • Explore advanced applications of Navier-Stokes in pump design
  • Study computational fluid dynamics (CFD) software for practical simulations
  • Learn about dimensional analysis in fluid mechanics
  • Investigate common pitfalls in fluid dynamics problem-solving
USEFUL FOR

Students and professionals in fluid mechanics, engineers involved in pump design, and anyone seeking to deepen their understanding of fluid dynamics principles.

owlwise2010
Messages
2
Reaction score
0
Homework Statement
Fluid Mechanics Homework:
Flows between two horizontal parallel plates
apart. The upper plate is moving with a uniform speed U, while the lower one is kept stationary. A constant pressure gradient of dp/dx is applied
Relevant Equations
Navier Stokes and Volumetric flow
Hello everyone,
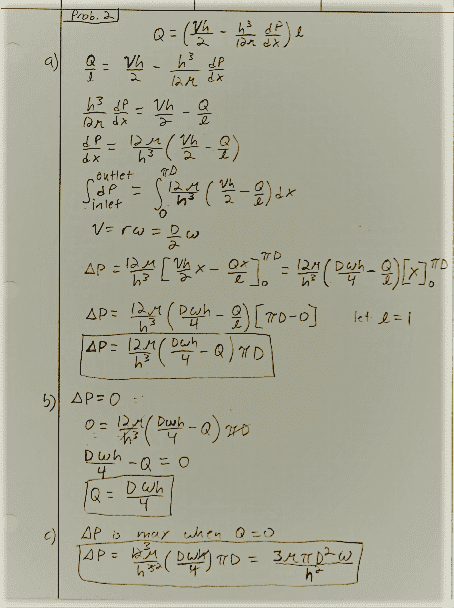
Attached is the homework problem (FluidHmk.PNG) as well as the attempt (Attempted 1 and 2).

Just wanted to know if this is method to approach the problem

Thanks in advance.
 

Attachments

  • FluidHmk.PNG
    FluidHmk.PNG
    26 KB · Views: 432
  • Attempted.PNG
    Attempted.PNG
    48.5 KB · Views: 427
  • Attempted2.PNG
    Attempted2.PNG
    51.9 KB · Views: 423
Physics news on Phys.org
Your approach looks very reasonable to me based on a quick glance over everything. I don't have time right now to actually go through and check the numbers, but it seems that you've taken the correct view of the problem, and nothing jumps out at me as being obviously incorrect.

I'll try to check back later this evening when I have more time to actually look over it in more depth if nobody else has a chance. In the meantime, maybe @boneh3ad has time to take a look (he's one of the only other people I'm aware of on the forum with a fluids background)?
 
I finally got a chance to go through in more detail, and it all looks correct to me. I might have left the factor of l in a while longer rather than just calling it 1, but the problem statement didn't actually specify that it needed to be in terms of l (and it fundamentally doesn't change anything about the problem), so this seems fine to me.
 

Similar threads

  • · Replies 11 ·
Replies
11
Views
4K
Replies
1
Views
715
  • · Replies 4 ·
Replies
4
Views
3K
  • · Replies 4 ·
Replies
4
Views
6K
  • · Replies 3 ·
Replies
3
Views
2K
  • · Replies 6 ·
Replies
6
Views
2K
  • · Replies 8 ·
Replies
8
Views
4K
  • · Replies 7 ·
Replies
7
Views
3K
  • · Replies 4 ·
Replies
4
Views
2K
  • · Replies 4 ·
Replies
4
Views
6K