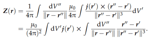
How to get the second line of this equation from the first one?

  • Context: Graduate 
  • Thread starter Thread starter zb23
  • Start date Start date
  • Tags Tags
    Line
Click For Summary

Discussion Overview

The discussion revolves around the manipulation of double integrals, specifically how to transition from one integral expression to another. Participants explore the conditions under which certain terms can be factored out and the order of integration, with a focus on the implications of variables denoted with primes and double primes.

Discussion Character

  • Technical explanation
  • Mathematical reasoning

Main Points Raised

  • One participant notes that constants not depending on double-prime variables can be factored out of the double integral.
  • Another participant requests clarification on the specifics of the case being discussed.
  • A participant explains that terms depending on double primes should be placed under the integral with ##dV''##, while those depending only on primes should be under the integral with ##dV'##, leading to a function of ##r## after integration.
  • There is a reiteration of the integration process, likening it to a general form of double integrals with a focus on the order of integration.
  • A later reply questions the initial explanation, suggesting an alternative representation of the integral that emphasizes the differential as an operator acting to the right, which some may find clearer for manipulation.

Areas of Agreement / Disagreement

Participants express differing views on the clarity and correctness of the integral manipulation, with no consensus reached on the best approach or notation to use.

Contextual Notes

There are unresolved aspects regarding the assumptions made about the integrals and the specific conditions under which the manipulations are valid. The discussion does not clarify the implications of these assumptions on the overall argument.

zb23
Messages
27
Reaction score
2
TL;DR
biot savart law,curl of vector potential
forum.png
 
Physics news on Phys.org
It's a double integral. Anything that does not depend on double-prime is constant and can be pulled out of the integral over double primed variables.
 
Can you be a little more specific considering this case?
 
There is nothing specific about this. Just put everything that depends on double prime under the integral sign that has ##dV''## and everything that depends only on prime under the integral sign that has ##dV'##. You do the double prime integral first and get a function of ##r'## and ##r##. Next you do the integral over primed variables and you get a function of ##r## only which will be an expression for ##Z(r)##.

It's like $$\int \int f(x,y)~g(x)~dx~dy=\int g(y)dy\int f(x,y)dx$$except with primes and double primes instead of ##x## and ##y##.
 
Last edited:
Ok.Thank you.
 
kuruman said:
There is nothing specific about this. Just put everything that depends on double prime under the integral sign that has ##dV''## and everything that depends only on prime under the integral sign that has ##dV'##. You do the double prime integral first and get a function of ##r'## and ##r##. Next you do the integral over primed variables and you get a function of ##r## only which will be an expression for ##Z(r)##.

It's like $$\int \int f(x,y)~g(x)~dx~dy=\int g(y)dy\int f(x,y)dx$$except with primes and double primes instead of ##x## and ##y##.
There's something wrong. Shouldn't it be
$$\int \mathrm{d} x \int \mathrm{d} y f(x,y)g(y)=\int \mathrm{d} y \int \mathrm{d} x f(x,y)g(y) = \int \mathrm{d} y g(y) \int \mathrm{d} x f(x,y)?$$
Examples like this let me prefer to write the differential of the integral in front, i.e., to have the integral sign including the differential as an operator acting to the right. Usually this makes reading the integrals and manipulating them easier than the somehow more common notation in the math literature, which puts the differential at the very end of the expression, i.e., after the integrand.
 
  • Like
Likes   Reactions: hutchphd

Similar threads

  • · Replies 14 ·
Replies
14
Views
2K
  • · Replies 2 ·
Replies
2
Views
1K
  • · Replies 13 ·
Replies
13
Views
4K
  • · Replies 23 ·
Replies
23
Views
2K
  • · Replies 9 ·
Replies
9
Views
2K
  • · Replies 17 ·
Replies
17
Views
2K
  • · Replies 6 ·
Replies
6
Views
2K
  • · Replies 4 ·
Replies
4
Views
3K
  • · Replies 9 ·
Replies
9
Views
1K
  • · Replies 12 ·
Replies
12
Views
2K