How to Solve a Double Contour Integral Using Ostrogradsky Formula?

Click For Summary

Homework Help Overview

The discussion revolves around a double contour integral and its evaluation using the Ostrogradsky formula. Participants are trying to clarify the nature of the integral, whether it is a surface integral or a volume integral, and how to approach the problem based on the provided equations and graphical representation.

Discussion Character

  • Exploratory, Assumption checking, Problem interpretation

Approaches and Questions Raised

  • Participants are questioning whether the double contour integral is indeed a surface integral and discussing the implications of this classification. There are attempts to clarify the equations and limits involved in the integrals, with some suggesting that the original poster's setup may contain inaccuracies.

Discussion Status

There is an ongoing exploration of the problem, with participants offering guidance on the nature of the integrals and questioning the clarity of the original poster's statements. Some participants express uncertainty about their understanding of the problem, indicating a lack of consensus on the correct approach.

Contextual Notes

Participants note potential confusion regarding the definitions of surface and volume integrals, as well as the specific area referenced in the problem. There are indications of missing clarity in the original problem statement and the graphical representation.

evol_w10lv
Messages
70
Reaction score
0

Homework Statement


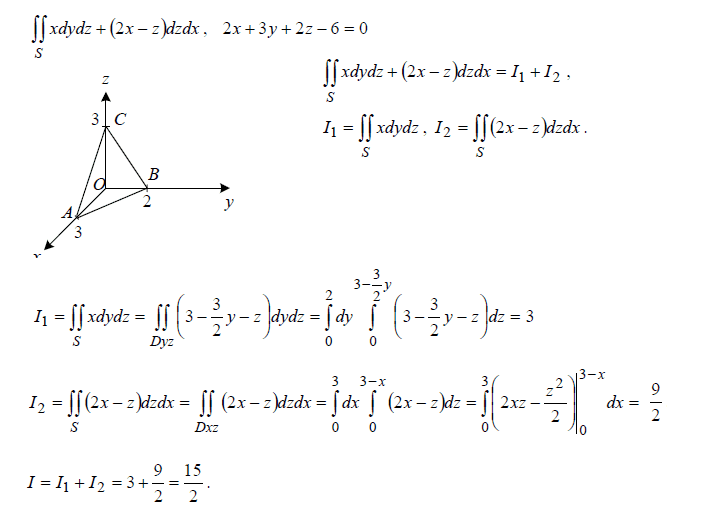
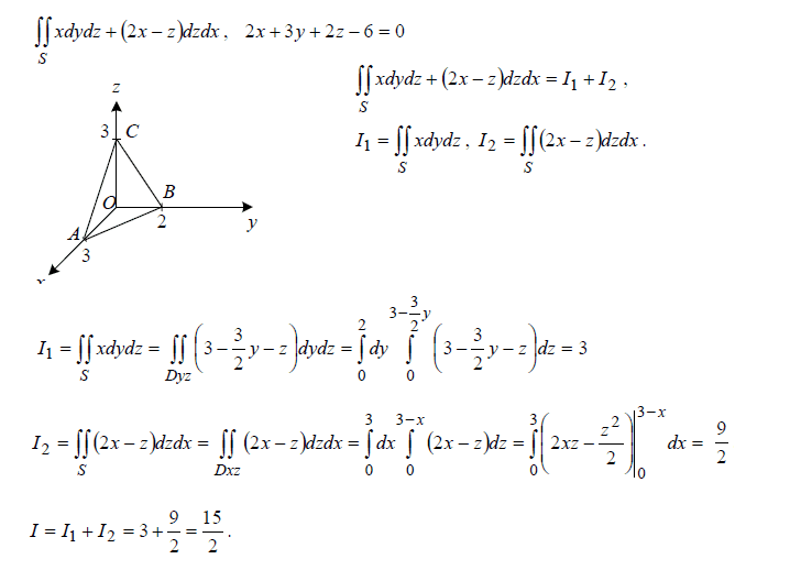
I have got double contour integral:
1442jcycd8bb2e4ywox.png

And here is picture:
3iwzoavwi0tedo6lq6my.png


I know every line equation as well.
The task is to calculate this integral as:
1. surface integral of outside of the area (in the picture)
2. using Ostrogradsky formula

Homework Equations



Equation of plane: 4x+3y+12z-12=0
It means that x=3-0.75y-3z and z=1-0.25y-(1/3)x

The Attempt at a Solution



I guess, this can be integral for task 1, when we use surface integral:
5oejfaol4tg2glvvi2ec.png


Can someone chek, if it's correct? And how to start task 2, when I have to use Ostrogradsky formula?
 

Attachments

  • 1442jcycd8bb2e4ywox.png
    1442jcycd8bb2e4ywox.png
    610 bytes · Views: 428
Physics news on Phys.org
evol_w10lv said:

Homework Statement


I have got double contour integral:
1442jcycd8bb2e4ywox.png

And here is picture:
3iwzoavwi0tedo6lq6my.png


I know every line equation as well.
The task is to calculate this integral as:
1. surface integral of outside of the area (in the picture)
2. using Ostrogradsky formula

Homework Equations



Equation of plane: 4x+3y+12z-12=0
It means that x=3-0.75y-3z and z=1-0.25y-(1/3)x

The Attempt at a Solution



I guess, this can be integral for task 1, when we use surface integral:
5oejfaol4tg2glvvi2ec.png


Can someone chek, if it's correct? And how to start task 2, when I have to use Ostrogradsky formula?

What are we going to do with this evol? I have some questions and observations:

(1) Isn't the (real) double contour integral above just a surface integral?

(2) If this is a surface integral, then the double integrals you're written are not correct. The integrals you wrote are just simple volume integrals. Also, the outer limits of the second integral are incorrect for a volume integral: the upper limit on y is 4 and not 1.

(3) Your statement above, "1. surface integral of outside of the area (in the picture)" is not clear at all. What area? Do you mean the surface integral over the triangular region intersecting the axis planes? Would be better to say something like, compute the surface integral:

[tex]\mathop\iint\limits_{\text{Red}} x dS[/tex]

Where "red" is the surface in the plot below. What would that surface integral be?
 

Attachments

  • red triangle.jpg
    red triangle.jpg
    14.3 KB · Views: 452
Last edited:
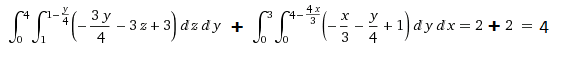
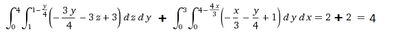
I guess, it's just surfice integral.
It means that this is the correct solution:
oysidrjjjc6jpg8jgxrl.png
?

And what about Ostrogradsky formula?
 
evol_w10lv said:
I guess, it's just surfice integral.
It means that this is the correct solution:
oysidrjjjc6jpg8jgxrl.png
?

I don't think so. Remember the formula for a surface integral over the surface z=f(x,y)? It's

[tex]\mathop\iint\limits_S g(x,y,z)dS=\mathop\iint\limits_R g(x,y,f(x,y)) \sqrt{f_x^2+f_y^2+1}dA[/tex]
 
Hmm.. I tried to use this example:
7ue82sxsu49rk3kc4fxs.png


Why in that case my solution is wrong?
 
evol_w10lv said:
Hmm.. I tried to use this example:
7ue82sxsu49rk3kc4fxs.png


Why in that case my solution is wrong?

Hi evol,

I don't wish to steer you wrong. Perhaps I'm misunderstanding what you're trying to do here. Those integrals above are just volume integrals and not what I believe are surface integrals. Maybe though I'm not understanding this problem.
 
Last edited:
I guess, I don't understand this problem as well.
I will try to find out, what exactly I have to calculate.
 

Similar threads

Replies
1
Views
2K
  • · Replies 3 ·
Replies
3
Views
2K
  • · Replies 9 ·
Replies
9
Views
2K
  • · Replies 7 ·
Replies
7
Views
2K
Replies
2
Views
2K
  • · Replies 3 ·
Replies
3
Views
3K
  • · Replies 26 ·
Replies
26
Views
5K
Replies
12
Views
5K
  • · Replies 4 ·
Replies
4
Views
2K
  • · Replies 9 ·
Replies
9
Views
2K