How to Solve Inverse Laplace Transform: Factor or Use Complex Methods?

  • Thread starter Thread starter eurekameh
  • Start date Start date
  • Tags Tags
    Inverse Laplace
Click For Summary
SUMMARY

The discussion centers on the methods for solving the inverse Laplace transform of the function involving the polynomial (s^2 + 5s + 6). The participant initially factored the polynomial as (s + 3)(s + 2) but opted for a more complex method, resulting in incorrect coefficients A = -1, B = -1, and C = 1. The simpler factoring approach yields a straightforward exponential solution, while the complex method led to a loss of points on the exam. The consensus suggests that while both methods are valid, the simpler approach is preferred for accuracy and efficiency.

PREREQUISITES
  • Understanding of inverse Laplace transforms
  • Knowledge of polynomial factoring techniques
  • Familiarity with partial fraction decomposition
  • Basic concepts of hyperbolic functions (cosh and sinh)
NEXT STEPS
  • Study the properties of inverse Laplace transforms
  • Learn about polynomial factorization in the context of Laplace transforms
  • Explore partial fraction decomposition in detail
  • Review hyperbolic functions and their applications in transforms
USEFUL FOR

Students in engineering or mathematics courses, particularly those studying differential equations and control systems, as well as educators looking to clarify grading criteria on transform methods.

eurekameh
Messages
209
Reaction score
0
2i734o0.png

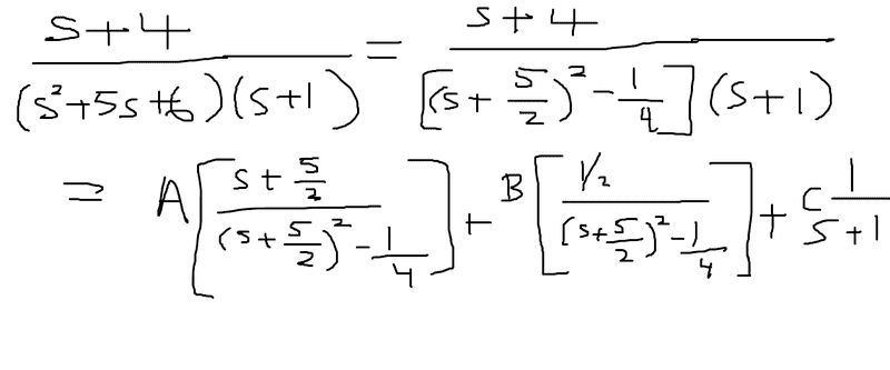
I have to take the inverse laplace transform of the above function. Now, I know that I can factor (s^2+5s+6) as (s+3)(s+2) and take the easy way out. However, I did it as above on a test, getting A = -1, B = -1, and C = 1. I then took the inverse laplace transform and got something involving cosh's and sinh's. Doing it the easy way would have gotten you just the exponential e. This problem on the exam was maybe 30+ points and I got 0 points for this problem because I did not realize to factor (s^2+5s+6) and did it the way more complicated way. Is my method justified and most importantly, right?
 
Physics news on Phys.org
Your method looks alright (so far), but you don't get the values you stated for A, B & C. Zero marks out of 30 seems a bit harsh though, as you at least demonstrated that you know partial fraction decomposition can be used for this. I'd talk to your professor to see if you can't get some partial credit for that at least.
 

Similar threads

  • · Replies 4 ·
Replies
4
Views
2K
Replies
10
Views
2K
  • · Replies 3 ·
Replies
3
Views
3K
  • · Replies 1 ·
Replies
1
Views
5K
  • · Replies 10 ·
Replies
10
Views
3K
  • · Replies 1 ·
Replies
1
Views
2K
  • · Replies 5 ·
Replies
5
Views
4K
  • · Replies 2 ·
Replies
2
Views
2K
  • · Replies 8 ·
Replies
8
Views
4K
  • · Replies 8 ·
Replies
8
Views
4K