I don't get this integral at all.

  • Thread starter Thread starter cdux
  • Start date Start date
  • Tags Tags
    Integral
Click For Summary

Homework Help Overview

The discussion revolves around evaluating a double integral involving the expression 3xy(x+y-x^2-y^2). Participants are comparing their results and exploring the reasoning behind different approaches to the integral, particularly focusing on how constants are handled and the symmetry in the variables.

Discussion Character

  • Exploratory, Assumption checking, Mathematical reasoning

Approaches and Questions Raised

  • Participants discuss their methods of integrating, with some expressing confusion over the handling of constants and the symmetry of the variables. Questions arise about the validity of replacing variables and the implications of doing so.

Discussion Status

The conversation is ongoing, with participants sharing their insights and corrections. Some have identified mistakes in their calculations, while others are questioning the assumptions made in the integration process. There is no explicit consensus on the best approach yet.

Contextual Notes

There is a prerequisite of finding fx(x) related to the problem, which some participants doubt is relevant. The discussion also highlights potential misunderstandings regarding the equivalency of expressions and the treatment of constants in the integration process.

cdux
Messages
187
Reaction score
0
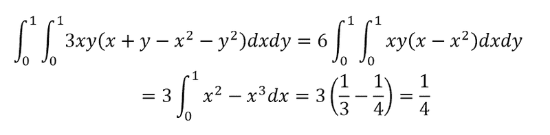
How did he do that?

I follow a regular "do the integral inside first" then "do the integral outside second" after I have initially just put the '3' completely outside but he seems to get the 3 outside first in the form of 6 and then shrinking the whole of it. (?)

2AxNuSQ.png


I would normally be OK with not getting it but in this case he gets a result of 1/4 and I get 1/12 with my method.

The freakiest thing? I saw a postgraduate mathematician getting 1/12 as well. How did the Professor get 1/4?

The question did have a prerequisite of finding fx(x) (the above is from fx,y(x,y)), but I doubt it's related..
 
Physics news on Phys.org
cdux said:
he gets a result of 1/4 and I get 1/12 with my method.
Can't answer that without seeing your working.
 
Wait. Stop the Presses.

I figured it out.

I left the '3' outside and forgot to use it at all in the end (funny that the postgrad did the same).

Now I still wonder what his trick was. Does anyone know? The regular "start from the inside going outside" is confirmed now to give the same result with his shortened version.
 
Something tells me, he may have used the fact of equivalency of fx(x) and fy(y) (notice the 'x' and 'y' are interchangeable..
 
Last edited:
If you are getting "1/12" I wonder if you are not factoring out the "3" and then forgetting to multiply it again?
(Okay, you say that's what you did.)

I was also, at first, puzzled by the change from the first integral to the second. Surely "[itex]3xy(x+ y- x^2- y^2[/itex]" is NOT the same as [itex]6 xy(x- x^2)[/itex]. But you can use a form of "symmetry". we can write [itex]x+ y- x^2- y^2[/itex] as [itex]x- x^2+ y- y^2[/itex] and then recognize that, since the integrand is symmetric in x and y, we can use, instead, [itex]x- x^+ x- x^2= 2(x- x^2)[/itex].
 
  • Like
Likes   Reactions: 1 person
HallsofIvy said:
If you are getting "1/12" I wonder if you are not factoring out the "3" and then forgetting to multiply it again?

I was also, at first, puzzled by the change from the first integral to the second. Surely "[itex]3xy(x+ y- x^2- y^2[/itex]" is NOT the same as [itex]6 xy(x- x^2)[/itex]. But you can use a form of "symmetry". we can write [itex]x+ y- x^2- y^2[/itex] as [itex]x- x^2+ y- y^2[/itex] and then recognize that, since the integrand is symmetric in x and y, we can use, instead, [itex]x- x^+ x- x^2= 2(x- x^2)[/itex].

Thanks. That should point me to the right direction if I choose to search for it in depth.

And yes, I did make a mistake of forgetting to use the '3' at all in the end.
 
Wait a second. If I understand this correctly, was it only a matter of replacing all instances of y with x (after noticing the symmetry)?

In that case is 6IntegralIntegral(x^3-x^4)dxdx just 6Integral(x^2-x^3)dx?
 
[tex] \begin{aligned}<br /> \int_0^1\int_0^1\,3xy(x+y-x^2-y^2)\,dx\,dy<br /> =&\phantom{+}\int_0^1\int_0^1\,3xy(x-x^2)\,dx\,dy \\<br /> &+\int_0^1\int_0^1\,3xy(y-y^2)\,dx\,dy \\[8pt]<br /> =&\phantom{+}<br /> \int_0^1\int_0^1\,3xy(x-x^2)\,dx\,dy \\<br /> &+ \int_0^1\int_0^1\,3xy(y-y^2)\,dy\,dx\qquad\text{change order} \\[8pt]<br /> =&\phantom{+}<br /> \int_0^1\int_0^1\,3xy(x-x^2)\,dx\,dy \\<br /> &+ \int_0^1\int_0^1\,3xy(x-x^2)\,dx\,dy\qquad\text{rename dummy variables} \\[8pt]<br /> =&<br /> \int_0^1\int_0^1\,6xy(x-x^2)\,dx\,dy<br /> \end{aligned}[/tex]
 
Is that a proof? Because the shortcut of just replacing all 'y's with 'x's seems to work arithmetically.
 
  • #10
cdux said:
Is that a proof? Because the shortcut of just replacing all 'y's with 'x's seems to work arithmetically.
When is that ever valid? Certainly not here! When this replacement happens to yield the correct result, it's just luck.

I could have bypassed the middle two steps by saying that ##\int_0^1\int_0^1 3xy(x-x^2)\,dx\,dy## and ##\int_0^1\int_0^1 3xy(y-y^2)\,dx\,dy## are obviously equal to one another. (Beware the mathematician who uses the word "obviously".) I added those middle two steps to explicitly show this equality.
 

Similar threads

  • · Replies 5 ·
Replies
5
Views
2K
Replies
2
Views
1K
  • · Replies 10 ·
Replies
10
Views
2K
  • · Replies 12 ·
Replies
12
Views
2K
Replies
12
Views
2K
  • · Replies 4 ·
Replies
4
Views
2K
Replies
4
Views
3K
Replies
24
Views
3K
Replies
12
Views
5K
  • · Replies 6 ·
Replies
6
Views
2K